Choix modal

La procédure Choix modal est utilisée dans le cadre d’un modèle à quatre étapes avec calcul séquentiel des étapes. Le choix modal à un niveau répartit la demande totale (matrice de la demande totale) par couche de la demande sur les différents modes de transport (par exemple TI, TC) à l’aide d’indicateurs de temps généralisé spécifiques aux modes (pour le temps de déplacement, le coût, etc.).

Pour chaque mode m, l’utilité est d’abord calculée en tant que combinaison linéaire des indicateurs de temps généralisé.

cijmg

temps généralisé du type de coût g pour le déplacement de la zone i vers la zone j avec le mode m

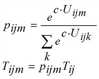
Les parts des déplacements de chaque relation revenant aux différents modes résultent de leur utilité. Vous pouvez choisir une fonction de distribution parmi plusieurs fonctions de distribution différentes (Calculer le modèle gravitaire). Le calcul pour le modèle Logit est présenté à titre d’exemple.

Tij désigne le nombre total de déplacements de la couche de la demande dans la relation i-j, Tijm le nombre de déplacements effectués avec le mode m et c un paramètre de procédure.

Il existe deux types de couches de la demande.

  • Les couches qui renvoient directement à une matrice de la demande assignée à un (ou plusieurs) segment(s) de la demande
  • Les couches dont la matrice de la demande n’est assignée à aucun segment de la demande

Aucun choix modal n’est calculé pour les couches renvoyant directement à une matrice avec segment(s) de la demande.

Pour les couches de la demande dont la matrice de la demande n’est assignée à aucun segment de la demande, vous spécifiez pour chaque mode à quelle matrice la demande revenant à ce mode doit être ajoutée lors du choix modal.