Estimation des paramètres gravitaires (KALIBRI)
Avec la fonction Estimation des paramètres gravitaires (dite KALIBRI), vous pouvez calibrer deux fonctions d’utilité différentes pour le modèle gravitaire de distribution des déplacements (détermination des paramètres a, b et c).
1.
avec
|
Uij |
Valeur pour l’utilité (par exemple en fonction de la distance ou du temps de parcours) entre la zone i et la zone j |
|
a, b, c |
Paramètres à estimer |
2.
avec
|
Uij |
Valeur pour l’utilité (par exemple en fonction de la distance ou du temps de parcours) entre la zone i et la zone j |
|
a, c |
Paramètres à estimer |
La fonction KALIBRI adapte ces fonctions d’utilité à une distribution des déplacements prédéfinie.
Puis la fonction Distribution des déplacements calcule le flux de trafic Fij de la zone i à la zone j à l’aide du modèle gravitaire à partir du trafic émis connu Ei d’une zone i ainsi que du trafic attiré connu Aj d’une zone j et des paramètres a, b, c (ou a, c) déterminés ici (Calculer le modèle gravitaire).
La fonction KALIBRI offre deux possibilités d’estimer les paramètres pour la procédure gravitaire :
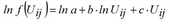
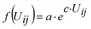
Les paramètres a, b, c ou a, c sont déterminés dans un processus itératif. La fonction d’utilité est transformée à l’aide de la fonction logarithme ; avec :
ou
Dans chaque itération KALIBRI, une matrice de la demande provisoire est déterminée (par exemple à l’aide de la procédure Multi avec une contrainte double pour le modèle gravitaire). Les valeurs de la fonction d’utilité qui en résultent sont lissées à l’aide d’une régression linéaire, et ce jusqu’à ce que le nombre maximal d’itérations KALIBRI soit atteint ou que les valeurs ne varient plus. Les valeurs fonctionnelles lissées décrivent alors une fonction du type [2] ou [3].

