Génération des déplacements EVA
Dans le modèle EVA, le volume émis et le volume attiré des zones sont calculés de manière analogue au modèle à quatre étapes standard sur la base de données socio-démographiques (nombres d’habitants) et socio-économiques (nombre d’emplois, surface de vente dans le commerce de détail, …) ainsi que sur la base de taux de mobilité provenant d’études statistiques du comportement de déplacement. Le calcul est effectué séparément pour chaque couche de la demande, c.-à-d. pour chaque paire d’activités avec ses groupes d’usagers déterminants.
Dans la procédure Génération des déplacements EVA, le volume émis et le volume attiré se rapportent normalement à une unité de temps homogène du point de vue du trafic (en règle générale un jour ouvrable moyen). Les étapes suivantes du modèle Évaluation EVA et Distribution des déplacements et choix modal EVA se rapportent à ce laps de temps global. Seules les matrices de la demande existant à la fin de la chaîne du modèle peuvent être combinées avec une courbe de distribution journalière standardisée ou déterminée de manière empirique (Illustration 57) afin d’obtenir les parts de la demande pour des heures de la journée données. Les courbes de distribution journalières dépendent de la couche de la demande.
Illustration 57 : Courbes de distribution journalières pour les groupes origine-destination DT et TD (SrV 1987 Dresde)
La table suivante représente l’assignation d’activités, de paires d’activités, de caractéristiques de zone et de groupes d’usagers aux couches de la demande. D désigne l’activité Domicile, T l’activité Travail, G l’activité Garde d’enfants, E l’activité École, S l’activité Service, A l’activité Achats, L l’activité Loisirs et U l’activité Autres.
|
De/Vers |
D |
T |
G |
E |
S |
A |
L |
U |
|
D |
|
DT |
DG |
DE |
DS |
DA |
DL |
DU |
|
T |
TD |
|
|
|
|
|
|
TU |
|
G |
GD |
|
|
|
|
|
|
|
|
E |
ED |
|
|
|
|
|
|
|
|
S |
SD |
|
|
|
|
|
|
|
|
A |
AD |
|
|
|
|
|
|
|
|
L |
LD |
|
|
|
|
|
|
|
|
U |
UD |
UT |
|
|
|
|
|
UU |
Table 45 : Répartition type des couches de la demande avec 8 activités et 17 couches de la demande = paires d’activités
|
CoucheD |
Caractéristique de zone (CZ) / Groupe d’usagers (GU) de la zone d’origine i |
|
|
DT |
GU |
Actifs |
|
DG |
GU |
Enfants en bas âge |
|
DE |
GU |
Élèves, apprentis, étudiants |
|
DS |
GU |
Actifs |
|
DA |
GU |
Habitants |
|
DL |
GU |
Habitants |
|
DU |
GU |
Habitants |
|
TU |
CZ |
Emplois |
|
TD |
CZ |
Emplois |
|
GD |
CZ |
Emplois / Capacité |
|
ED |
CZ |
Emplois / Capacité |
|
SD |
CZ |
Emplois |
|
AD |
CZ |
Emplois / Surface de vente |
|
LD |
CZ |
Emplois / Capacité |
|
UD |
CZ |
Autres emplois |
|
UT |
CZ |
Autres emplois |
|
UU |
CZ |
Autres emplois |
|
CoucheD |
Caractéristique de zone (CZ) / Groupe d’usagers (GU) de la zone de destination j |
|
|
DT |
CZ |
Emplois |
|
DG |
CZ |
Emplois / Capacité |
|
DE |
CZ |
Emplois / Capacité |
|
DS |
CZ |
Emplois |
|
DA |
CZ |
Emplois / Surface de vente |
|
DL |
CZ |
Emplois / Capacité |
|
DU |
CZ |
Autres emplois |
|
TU |
CZ |
Autres emplois |
|
TD |
GU |
Actifs |
|
GD |
GU |
Enfants en bas âge |
|
ED |
GU |
Élèves, apprentis, étudiants |
|
SD |
GU |
Actifs |
|
AD |
GU |
Habitants |
|
LD |
GU |
Habitants |
|
UD |
GU |
Habitants |
|
UT |
CZ |
Emplois |
|
UU |
CZ |
Autres emplois |
Table 46 : Exemple de caractéristiques de zone déterminantes et de groupes d’usagers des couches de la demande
Ainsi, seul le groupe d’usagers Actifs (que l’on pourrait certes subdiviser en davantage de sous-groupes) est déterminant pour les couches de la demande DT et TD, tandis que tous les groupes d’usagers peuvent être en règle générale pris en considération pour les couches de la demande DA et AD. Les nombres de personnes de tous les groupes d’usagers dans les différentes zones constituent une partie des données d’entrée essentielles pour la génération des déplacements d’une couche de la demande donnée. D’autres caractéristiques de zone mesurent l’intensité des activités pour l’origine et la destination. Un exemple d’assignation de caractéristiques de zone données aux différentes couches de la demande figure dans la Table 46.
On peut subdiviser les groupes d’usagers spécifiés en sous-groupes selon d’autres critères (disponibilité d’un VP, âge) et les utiliser pour la génération des déplacements.
Il faut déterminer des taux de mobilité pour chaque couche de la demande et pour chaque groupe d’usagers pertinent respectif. Le taux de mobilité d’un groupe d’usagers est défini comme le nombre moyen de déplacements par jour et par personne.
Dans la plupart des cas, les valeurs TMuc proviennent d’enquêtes statistiques nationales relatives au comportement de déplacement et sont admises comme constantes pour toutes les zones du périmètre d’étude. Si des volumes de déplacements spécifiques différents, qui varient par exemple entre les zones urbaines et rurales, existent pour les différentes zones, on peut également les utiliser. Dans ce cas, TMeuc désigne le volume de déplacements spécifique du groupe d’usagers ou du groupe d’usagers de référence u dans la zone e (dans une couche de la demande donnée c).
De même, vous spécifiez des taux d’émission, définis comme le nombre de déplacements par jour et par unité de la caractéristique de zone, pour les caractéristiques de zone déterminantes telles que le nombre d’emplois, la surface de vente etc. Vous pouvez à cet effet tenir compte d’enquêtes empiriques ou de valeurs empiriques existantes. Une différenciation selon les zones est également possible ici. Le potentiel de la zone découle de la valeur de la caractéristique de zone et du taux d’émission correspondant.
Sur le volume émis total d’une zone, seule une partie des déplacements reste dans le périmètre d’étude, l’autre partie a une destination en dehors. Il en est de même pour le volume attiré. Dans la mesure où le modèle EVA sert généralement à calculer le trafic interne dans le périmètre d’étude (le trafic émis, attiré et le trafic de transit sont souvent complétés à partir d’autres sources), vous pouvez spécifier pour toutes les zones d’origine (ou de destination respectivement) la part du trafic émis (ou attiré respectivement) total revenant aux déplacements effectués dans le périmètre d’étude observé.
Le trafic émis de la couche de la demande Domicile-Travail (DT) résulte par exemple du nombre d’habitants du groupe d’usagers Actifs (AF) et du taux de mobilité TMAF,DT. Dans le cas d’une zone B au bord du périmètre d’étude, une partie des actifs fait néanmoins la navette vers des zones de destination en dehors du périmètre d’étude. Cette part n’est pas disponible pour la distribution des déplacements et le choix modal subséquents. La part de déplacements du périmètre d’étude PB,AF,DT est dans ce cas inférieure à 1 et exprime que seule cette part des déplacements reste dans le périmètre d’étude. Pour une zone C au centre, tous les déplacements de la couche de la demande se déroulent en revanche dans le périmètre d’étude. Dans ce cas, PC,AF,DT = 1. Les parts de déplacements du périmètre d’étude ne dépendent pas uniquement de la zone mais également de la couche de la demande et du groupe d’usagers. Les actifs disposant d’un véhicule particulier (AaVP) font par exemple la navette sur de plus grandes distances que ceux qui ne disposent pas d’un véhicule particulier (AsVP) et se rendent donc aussi à des destinations en dehors du périmètre d’étude. Si vous différenciez ces deux groupes d’usagers dans le modèle, PB,AsVP,DT serait typiquement > PB,AaVP,DT. De même, PB,EF,DG devrait être > PB,AaVP,DT, car les garderies sont généralement plus proches du domicile que les lieux de travail.
Comme pour le taux de mobilité d’un groupe d’usagers, le taux d’émission d’une caractéristique de zone peut influer uniquement partiellement sur le périmètre d’étude. Le potentiel de la couche de la demande DT est alors déterminé à partir du nombre d’emplois (caractéristique de zone E) et du taux d’émission correspondant. Au bord du périmètre d’étude, une partie des emplois est toutefois exercée par des actifs qui résident en dehors du périmètre d’étude. Ces emplois ne sont par conséquent pas disponibles en tant que destination potentielle de chemins DT en provenance du périmètre d’étude. Dans ce cas, le potentiel total est également multiplié par une part de déplacements du périmètre d’étude VB,E,DT < 1.
Vous pouvez restreindre l’ensemble du calcul aux zones actives. Ceci permet par exemple d’exclure les zones cordon du calcul.
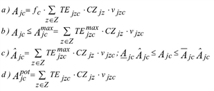
Lors de l’étape génération des déplacements (Table 47, Table 48 et Table 49), le volume émis Eic et le volume attiré Ajc ou les limites supérieures Eicmax et Ajcmax sont calculés à partir des données de structure et indicateurs mentionnés pour toutes les couches de la demande c.
L’approche du calcul dépend du type origine-destination de la paire d’activités de la couche de la demande. Il indique si l’activité de domicile de l’usager est l’activité d’origine ou de destination de la paire d’activités. Trois types sont possibles.
- Type 1 : Activité d’origine = Activité de domicile (domicile propre, travail propre)
- Type 2 : Activité de destination = Activité de domicile (domicile propre, travail propre)
- Type 3 : Activité d’origine et activité de destination ≠ Activité de domicile
Les règles de calcul peuvent en grande partie être tirées de la Table 47, Table 48 et Table 49. Pour les types 1 et 2, le calcul commence par le volume de domicile qui se présente toujours dans la zone de domicile indépendamment du sens du déplacement (à partir du nombre de personnes, des taux de mobilité, de la part de déplacements du périmètre d’étude). Ce nombre de déplacements correspond exactement au volume émis de la zone respective pour le type 1, au volume attiré de la zone respective pour le type 2. Avec le type 1, le volume émis total (totalisé pour toutes les zones) est réparti sur les zones de destination proportionnellement à leurs potentiels (à partir des caractéristiques de zone, des taux d’émission et de la part de déplacements du périmètre d’étude). Le calcul avec le type 2 est analogue. Le volume attiré total est réparti sur les zones d’origine proportionnellement aux potentiels. Pour le type 3, le volume de déplacements total est également calculé à partir du total des volumes de domicile, les caractéristiques des zones de domicile des usagers, qui ne coïncident pas nécessairement avec l’origine ou la destination du chemin, sont toutefois déterminantes. Le volume de déplacements total est alors réparti d’une part sur les zones d’origine et d’autre part sur les zones de destination proportionnellement au potentiel.
Les volumes de trafic émis et/ou attiré ainsi calculés peuvent présenter différentes significations.
- Contraintes de totaux marginaux strictes
Le volume de déplacements résulte uniquement de la configuration spatiale et doit correspondre exactement aux déplacements calculés dans le modèle.
Si le nombre d’habitants actifs et le nombre d’emplois par zone sont par exemple connus, les contraintes de totaux marginaux valables pour la couche de la demande Domicile – Travail (DT) sont strictes, car chaque actif doit obligatoirement effectuer un trajet vers son lieu de travail et chaque emploi doit être la destination d’un trajet professionnel.
- Contraintes de totaux marginaux souples
Le volume de déplacements ne dépend pas uniquement de la configuration spatiale mais aussi de l’attractivité et des différentes « conditions de concurrence » qui en découlent. Dans ces cas, les volumes de déplacements de la génération des déplacements ont un caractère de limites supérieures. On sait seulement lors de la distribution des déplacements et du choix modal dans quelle mesure les limites correspondent réellement aux trafics émis et attirés réels déterminés.
Le potentiel de la zone de destination pour la couche de la demande Domicile – Achats (DA) est par exemple habituellement calculé à partir de la caractéristique de zone Surface de vente et d’un taux d’émission. On peut envisager qu’il existe un excédent de surfaces de vente, de sorte que les possibilités d’achats ne sont pas utilisées conformément à leur potentiel. Le volume attiré calculé lors de la génération des déplacements à partir du potentiel constitue donc uniquement une limite supérieure pour le trafic attiré. La contrainte de totaux marginaux est donc souple pour le volume attiré, mais en revanche stricte pour le volume émis, car chaque usager doit (se rendre quelque part pour) effectuer ses achats.
- Contraintes de totaux marginaux élastiques
Elles représentent une généralisation des contraintes de totaux marginaux souples. Outre les limites supérieures, les limites inférieures sont également connues, pour la couche de la demande Domicile – Achats (DA) par exemple à partir de statistiques de vente. Dans ce cas, le potentiel de la caractéristique de zone surface de vente définit un intervalle pour le volume attiré de la zone respective.
- Contraintes de totaux marginaux ouvertes
Le potentiel des caractéristiques de zone exprime uniquement l’attractivité de la zone en tant qu’origine ou destination de la couche de la demande. Cependant, le volume émis ou attiré n’est soumis à aucune contrainte de totaux marginaux.
L’attractivité de certaines destinations dans le trafic de loisirs peut être par exemple aussi mesurée au moyen de leurs attributs lorsque les effets de capacité n’ont aucune importance. Le potentiel d’une zone récréative de proximité peut donc par exemple être indiqué par sa surface boisée. Cette attractivité doit agir comme potentiel de la zone de destination lors de la distribution des déplacements mais aucune contrainte de totaux marginaux n’y est reliée, car il n’existe pas de nombre minimum de personnes en quête de repos dans la zone récréative et d’autre part car aucun visiteur ne se rabat sur d’autres zones parce que la « capacité » de la forêt est épuisée.
La plage de validité des contraintes de totaux marginaux est définie par sélection de l’attribut de paire d’activités correspondant Contrainte conjointe pour couchesD :
- calculer séparément
les contraintes de totaux marginaux sont respectées selon l’émission et l’attraction pour chaque couche de la demande
- contrainte conjointe selon l’émission
Les contraintes de totaux marginaux sont respectées selon l’émission conjointement pour toutes les couches de la demande avec cette paire d’activités
- contrainte conjointe selon l’attraction
Les contraintes de totaux marginaux sont respectées selon l’attraction conjointement pour toutes les couches de la demande avec cette paire d’activités
- contrainte conjointe double
Les contraintes de totaux marginaux sont respectées selon l’émission et l’attraction conjointement pour toutes les couches de la demande avec cette paire d’activités
La définition des contraintes de totaux marginaux pour toutes les couches de la demande permet d’assouplir les contraintes de totaux marginaux. Il suffit de se représenter l’exemple suivant à cet effet : supposons l’existence de deux groupes d’usagers dont l’un utilise avant tout le véhicule particulier, et l’autre avant tout les transports collectifs. À ceux-ci s’ajouteraient deux origines et deux destinations ainsi qu’une seule paire d’activités « Domicile-travail » du type O-D 1 avec des contraintes strictes de totaux marginaux selon l’attraction. L’une des deux destinations présenterait une bonne accessibilité en voiture particulière, l’autre avec les TC.
Si l’on utilise maintenant une contrainte selon l’attraction sans contrainte conjointe, les deux groupes d’usagers circulent à l’identique vers ces deux destinations, bien que l’on pourrait s’attendre à ce que le choix de destination soit calqué sur le moyen de transport privilégié.
Ce cas de figure se présente précisément lorsque l’on met en œuvre une contrainte conjointe selon l’attraction : les usagers du groupe TC se dirigent en priorité vers la destination bien accessible avec les TC tandis que les usagers du groupe VP se dirigent en priorité vers l’autre destination.
Illustration 58 : Résultat pour une contrainte selon l’attraction des contraintes de totaux marginaux
La zone « Travail A » avec une bonne connexion TC est principalement la destination d’usagers adeptes des TC, tandis que la zone « Travail B » est la destination privilégiée d’usagers adeptes du VP. Au final, les contraintes marginales selon l’attraction (100 chemins par zone) ont été respectées.
|
Nota : Si vous souhaitez valider les données, veillez à ce que les contraintes de totaux marginaux par zone spécifiées ne soient pas satisfaites par le volume émis ou attiré de chaque couche de la demande isolée lors de l’utilisation de la contrainte, mais par les valeurs cumulées. |
Dans la Table 47, Table 48 et Table 49, les formules de calcul sont spécifiées séparément lorsqu’elles diffèrent dans les deux cas. Une contrainte éventuellement conjointe n’est pas prise en considération dans les formules de calcul.
|
Étape 1 |
Volume de domicile D
|
|
Étape 2 |
Volume émis E, Emax
|
|
Étape 3 |
Volume total V
|
|
Étape 4 |
Volume attiré A, Amax
|
Table 47 : Modèle EVA de la génération des déplacements : Type O-D 1
|
Étape 1 |
Volume de domicile D
|
|
Étape 2 |
Volume attiré A, Amax
|
|
Étape 3 |
Volume total V
|
|
Étape 4 |
Volume émis E, Emax
|
Table 48 : Modèle EVA de la génération des déplacements : Type O-D 2
|
Étape 1 |
Volume de domicile D
|
|
Étape 2 |
Volume total V
|
|
Étape 3 |
Volume émis E, Emax
Volume attiré A, Amax
|
Table 49 : Modèle EVA de la génération des déplacements : Type O-D 3
|
e |
Indice d’une zone en tant que cause des déplacements (zone de domicile) |
|
i |
Indice d’une zone en tant qu’origine des déplacements |
|
j |
Indice d’une zone en tant que destination des déplacements |
|
z |
Indice d’une caractéristique de zone |
|
u |
Indice d’un groupe d’usagers |
|
c |
Indice d’une couche de la demande |
|
m |
Nombre de zones du périmètre d’étude |
|
TMeuc |
Taux de mobilité du groupe d’usagers u par unité de temps |
|
TEizc |
Taux d’émission de la caractéristique de zone cz par unité de temps |
|
NPeu |
Nombre de personnes du groupe d’usagers u |
|
CZ |
Caractéristique de zone |
|
peuc |
Part des déplacements effectués dans le périmètre d’étude en tant que trafic interne |
|
vizc |
Part de la caractéristique de zone influant sur le trafic interne dans le périmètre d’étude |
|
Deuc |
Volume de domicile (espérance) du groupe d’usagers u |
|
Dec |
Volume de domicile (espérance) total |
|
Eic |
Volume émis (espérance) |
|
Ajc |
Volume attiré (espérance) |
|
Eicmax |
Volume émis maximum possible |
|
Ajcmax |
Volume attiré maximum possible |
|
|
Facteur pour la limite inférieure ou supérieure du volume émis |
|
|
Facteur pour la limite inférieure ou supérieure du volume attiré |
|
Eicpot |
Potentiel pour le trafic émis |
|
Ajcpot |
Potentiel pour le trafic attiré |
|
Vc |
Volume de déplacements total (espérance) |
|
fc |
Facteur tenant compte du respect de la contrainte totale |
|
∆Eic*, ∆Ajc* |
Données auxiliaires pour la compensation des totaux marginaux (voir ci-après) |
Table 50 : Explication des variables et indices utilisés
En analysant les flux de voyageurs, on constate que certaines chaînes d’activités dominent au cours d’une journée. Ainsi, la chaîne D – T – A – D est plus fréquente que la chaîne D – A – T – D. Dans ce contexte, des asymétries apparaissent dans les paires de couches de la demande respectives (par exemple DT par rapport à TD), qui se reflètent dans les taux de mobilité ou d’émission. Il en résulte que le total des volumes émis d’une zone donnée i ne coïncide en général pas avec le total des volumes lors du calcul du total sur toutes les couches de la demande. Cette condition devrait néanmoins être satisfaite lors de l’observation d’un laps de temps « homogène du point de vue du trafic ». Dans le modèle EVA, le volume émis ou attiré d’une couche de la demande sélectionnée ca de type 3 (la plupart du temps Autres-Autres, AA) est modifié de telle sorte que le volume émis total et le volume attiré total soit identique pour toutes les couches de la demande. Cette opération s’appelle compensation des totaux marginaux (Distribution des déplacements et choix modal EVA).
La compensation des totaux marginaux est exécutée soit consécutivement à la génération des déplacements soit consécutivement à la distribution des déplacements et au choix modal. Elle est consécutive à la génération des déplacements si les conditions suivantes sont satisfaites.
- Toutes les contraintes de totaux marginaux sont strictes (à l’exception de celles de la couche de la demande ca).
- Le volume de déplacements total de ca est supérieur à la différence à compenser entre le volume émis et le volume attiré.
- Tous les modes sont interchangeables.
La compensation des totaux marginaux consécutive à la génération des déplacements est exécutée en trois étapes.
1. Calcul des volumes émis et attirés totaux de toutes les couches de la demande sauf ca.
; 
2. Calcul du volume de compensation pour toutes les zones i.
; 
3. Correction des volumes dans ca,
et
étant les valeurs « provisoires » des formules contenues dans la Table 47, Table 48 et Table 49.
S’il existe des modes non interchangeables, la compensation des totaux marginaux doit être exécutée d’une part pour chaque mode non interchangeable séparément et d’autre part pour les modes interchangeables ensemble, ce qui n’est possible que dans le cadre de la distribution et du choix modal.
L’exemple suivant explicite la méthode. Pour simplifier, nous nous limitons à cinq couches de la demande couvrant tous les types origine-destination.
|
|
Activité |
Groupe d’usagers |
|||
|
N° |
Code |
Type O-D |
Origine |
Destination |
Zone de domicile |
|
1 |
DT |
1 |
Domicile |
Travail |
Actifs |
|
2 |
DU |
1 |
Domicile |
Autres |
Habitants |
|
3 |
TD |
2 |
Travail |
Domicile |
Actifs |
|
4 |
UD |
2 |
Autres |
Domicile |
Habitants |
|
5 |
UU |
3 |
Autres |
Autres |
Habitants |
|
|
Potentiel déterminant |
|||
|
N° |
Code |
Type O-D |
Zone d’origine |
Zone de destination |
|
1 |
DT |
1 |
comme pour Domicile |
Emplois |
|
2 |
DU |
1 |
comme pour Domicile |
Emplois dans le secteur tertiaire et habitants |
|
3 |
TD |
2 |
Emplois |
comme pour Domicile |
|
4 |
UD |
2 |
Emplois dans le secteur tertiaire et habitants |
comme pour Domicile |
|
5 |
UU |
3 |
Emplois dans le secteur tertiaire et habitants |
Emplois dans le secteur tertiaire et habitants |
Table 51 : Données d’exemple pour les couches de la demande d’un modèle EVA
Le modèle comprend 18 zones, dont 10 font partie du périmètre d’étude proprement dit (Type 1) et 8 forment un cordon autour de celui-ci (Type 2). Les zones de type 1 présentent des parts de déplacements du périmètre d’étude de 1,0, celles de type 2 des parts de déplacements du périmètre d’étude de 0,9. Les attributs pertinents des zones comportent les valeurs suivantes.
|
Zone |
Type |
Habitants |
Actifs |
Emplois |
Emplois tertiaires |
|
1 |
1 |
7 000 |
3 000 |
2 000 |
1 100 |
|
2 |
1 |
10 500 |
5 500 |
7 000 |
4 500 |
|
3 |
1 |
7 000 |
3 000 |
2 000 |
1 300 |
|
4 |
1 |
5 000 |
2 000 |
1 700 |
1 000 |
|
5 |
1 |
3 000 |
1 200 |
2 500 |
1 600 |
|
6 |
1 |
2 000 |
900 |
1 600 |
1 000 |
|
7 |
1 |
500 |
200 |
2 000 |
1 200 |
|
8 |
1 |
5 000 |
2 000 |
1 000 |
600 |
|
9 |
1 |
7 000 |
3 100 |
2 500 |
1 400 |
|
10 |
1 |
5 000 |
2 000 |
1 500 |
1 000 |
|
11 |
2 |
3 500 |
1 200 |
1 000 |
600 |
|
12 |
2 |
3 000 |
1 100 |
1 000 |
600 |
|
13 |
2 |
2 500 |
1 000 |
1 000 |
600 |
|
14 |
2 |
1 500 |
700 |
500 |
100 |
|
15 |
2 |
1 500 |
600 |
500 |
100 |
|
16 |
2 |
2 000 |
900 |
1 000 |
600 |
|
17 |
2 |
2 000 |
800 |
500 |
300 |
|
18 |
2 |
2 000 |
800 |
500 |
300 |
Table 52 : Données d’exemple pour les attributs de zone dans le modèle de la demande EVA (valeur des caractéristiques de zone)
En fonction de la couche de la demande et du type de zone, les taux de mobilité suivants sont valables (chemins par personne dans le groupe d’usagers déterminant).
|
Type de zone |
DT |
DU |
TD |
UD |
UU |
|
1 |
0,7800 |
0,9000 |
0,6200 |
0,9000 |
0,6000 |
|
2 |
0,8100 |
0,9000 |
0,6400 |
0,9000 |
0,6000 |
Table 53 : Données d’exemple pour les taux de mobilité dans le modèle de la demande EVA
Les taux d’émission des caractéristiques de zone dépendent également de la couche de la demande et du type de zone.
|
Couche de la demande |
Caractéristique de zone |
Type de zone 1 |
Type de zone 2 |
|
DT |
|
1,00 |
1,00 |
|
DU |
Habitants |
0,50 |
0,50 |
|
Emplois tertiaires |
0,50 |
0,50 |
|
|
TD |
|
1,00 |
1,00 |
|
UD |
Habitants |
0,50 |
0,50 |
|
Emplois tertiaires |
0,50 |
0,50 |
|
|
UU |
Habitants |
0,50 |
0,50 |
|
Emplois tertiaires |
0,50 |
0,50 |
Table 54 : Données d’exemple pour les taux d’émission dans le modèle de la demande EVA
Toutes les couches de la demande présentent des contraintes de totaux marginaux strictes. Le volume émis et le volume attiré des couches de la demande affichés dans les tables suivantes résultent des formules dans la Table 47, Table 48 et Table 49. L’étape dans l’ordre de calcul est indiquée au-dessus de chaque colonne pour plus de clarté.
- D = Volume de domicile
- E = Volume émis
- A = Volume attiré
- PO = Potentiel origine
- PD = Potentiel destination
|
Couche de la demande |
DT |
||||
|
|
Domicile |
Origine |
|
Destination |
|
|
Groupe d’usagers ou caractéristique de zone |
Actifs |
comme pour Domicile |
Emplois |
|
|
|
Ordre de calcul |
1 |
2 |
3 |
4 |
|
|
Zone |
Type de zone |
D |
E |
PD |
A |
|
1 |
1 |
2 340 |
2 340 |
2 000 |
1 578 |
|
2 |
1 |
4 290 |
4 290 |
7 000 |
5 523 |
|
3 |
1 |
2 340 |
2 340 |
2 000 |
1 578 |
|
4 |
1 |
1 560 |
1 560 |
1 700 |
1 341 |
|
5 |
1 |
936 |
936 |
2 500 |
1 972 |
|
6 |
1 |
702 |
702 |
1 600 |
1 262 |
|
7 |
1 |
156 |
156 |
2 000 |
1 578 |
|
8 |
1 |
1 560 |
1 560 |
1 000 |
789 |
|
9 |
1 |
2 418 |
2 418 |
2 500 |
1 972 |
|
10 |
1 |
1 560 |
1 560 |
1 500 |
1 183 |
|
11 |
2 |
875 |
875 |
900 |
710 |
|
12 |
2 |
802 |
802 |
900 |
710 |
|
13 |
2 |
729 |
729 |
900 |
710 |
|
14 |
2 |
510 |
510 |
450 |
355 |
|
15 |
2 |
437 |
437 |
450 |
355 |
|
16 |
2 |
656 |
656 |
900 |
710 |
|
17 |
2 |
583 |
583 |
450 |
355 |
|
18 |
2 |
583 |
583 |
450 |
355 |
|
Total |
|
23 038 |
23 038 |
29 200 |
23 038 |
Table 55 : Exemple de calcul des volumes émis et attiré pour la couche de la demande DT
|
Couche de la demande |
DU |
||||||
|
|
Domicile |
Origine |
|
|
|
Destination |
|
|
Groupe d’usagers ou caractéristique de zone |
Hab. |
comme pour Domicile |
Emplois dans le secteur tertiaire et habitants |
||||
|
Ordre de calcul |
1 |
2 |
3.1 |
3.2 |
4 |
5 |
|
|
Zone |
Type de zone |
D |
E |
PD Hab. |
PD Emp-T |
PD Total |
A |
|
1 |
1 |
6 300 |
6 300 |
3 500 |
550 |
4 050 |
5 796 |
|
2 |
1 |
9 450 |
9 450 |
5 250 |
2 250 |
7 500 |
10 733 |
|
3 |
1 |
6 300 |
6 300 |
3 500 |
650 |
4 150 |
5 939 |
|
4 |
1 |
4 500 |
4 500 |
2 500 |
500 |
3 000 |
4 293 |
|
5 |
1 |
2 700 |
2 700 |
1 500 |
800 |
2 300 |
3 292 |
|
6 |
1 |
1 800 |
1 800 |
1 000 |
500 |
1 500 |
2 147 |
|
7 |
1 |
450 |
450 |
250 |
600 |
850 |
1 216 |
|
8 |
1 |
4 500 |
4 500 |
2 500 |
300 |
2 800 |
4 007 |
|
9 |
1 |
6 300 |
6 300 |
3 500 |
700 |
4 200 |
6 011 |
|
10 |
1 |
4 500 |
4 500 |
2 500 |
500 |
3 000 |
4 293 |
|
11 |
2 |
2 835 |
2 835 |
1 575 |
270 |
1 845 |
2 640 |
|
12 |
2 |
2 430 |
2 430 |
1 350 |
270 |
1 620 |
2 318 |
|
13 |
2 |
2 025 |
2 025 |
1 125 |
270 |
1 395 |
1 996 |
|
14 |
2 |
1 215 |
1 251 |
675 |
45 |
720 |
1 030 |
|
15 |
2 |
1 215 |
1 251 |
675 |
45 |
720 |
1 030 |
|
16 |
2 |
1 620 |
1 620 |
900 |
270 |
1 170 |
1 674 |
|
17 |
2 |
1 620 |
1 620 |
900 |
135 |
1 035 |
1 481 |
|
18 |
2 |
1 620 |
1 620 |
900 |
135 |
1 035 |
1 481 |
|
Total |
|
61 380 |
61 380 |
34 100 |
8 790 |
42 890 |
61 380 |
Table 56 : Exemple de calcul des volumes émis et attiré pour la couche de la demande DU
|
Couche de la demande |
TD |
||||
|
|
Domicile |
Destination |
|
Origine |
|
|
Groupe d’usagers ou caractéristique de zone |
|
comme pour Domicile |
Emplois |
||
|
Ordre de calcul |
1 |
2 |
3 |
4 |
|
|
Zone |
Type de zone |
D |
A |
PO |
E |
|
1 |
1 |
1 860 |
1 860 |
2 000 |
1 253 |
|
2 |
1 |
3 410 |
3 410 |
7 000 |
4 384 |
|
3 |
1 |
1 860 |
1 860 |
2 000 |
1 253 |
|
4 |
1 |
1 240 |
1 240 |
1 700 |
1 065 |
|
5 |
1 |
744 |
744 |
2 500 |
1 566 |
|
6 |
1 |
558 |
558 |
1 600 |
1 002 |
|
7 |
1 |
124 |
124 |
2 000 |
1 253 |
|
8 |
1 |
1 240 |
1 240 |
1 000 |
626 |
|
9 |
1 |
1 922 |
1 922 |
2 500 |
1 566 |
|
10 |
1 |
1 240 |
1 240 |
1 500 |
939 |
|
11 |
2 |
691 |
691 |
900 |
564 |
|
12 |
2 |
634 |
634 |
900 |
564 |
|
13 |
2 |
576 |
576 |
900 |
564 |
|
14 |
2 |
403 |
403 |
450 |
282 |
|
15 |
2 |
346 |
346 |
450 |
282 |
|
16 |
2 |
518 |
518 |
900 |
564 |
|
17 |
2 |
461 |
461 |
450 |
282 |
|
18 |
2 |
461 |
461 |
450 |
282 |
|
Total |
|
18 288 |
18 288 |
29 200 |
18 288 |
Table 57 : Exemple de calcul des volumes émis et attiré pour la couche de la demande TD
|
Couche de la demande |
UD |
||||||
|
|
Domicile |
Destination |
|
|
|
Origine |
|
|
Groupe d’usagers ou caractéristique de zone |
Hab. |
comme pour Domicile |
Emplois dans le secteur tertiaire et habitants |
||||
|
Ordre de calcul |
1 |
2 |
3.1 |
3.2 |
4 |
5 |
|
|
Zone |
Type de zone |
D |
A |
PO Hab. |
PO Emp-T |
PO Total |
E |
|
1 |
1 |
6 300 |
6 300 |
3 500 |
550 |
4 050 |
5 796 |
|
2 |
1 |
9 450 |
9 450 |
5 250 |
2 250 |
7 500 |
10 733 |
|
3 |
1 |
6 300 |
6 300 |
3 500 |
650 |
4 150 |
5 939 |
|
4 |
1 |
4 500 |
4 500 |
2 500 |
500 |
3 000 |
4 293 |
|
5 |
1 |
2 700 |
2 700 |
1 500 |
800 |
2 300 |
3 292 |
|
6 |
1 |
1 800 |
1 800 |
1 000 |
500 |
1 500 |
2 147 |
|
7 |
1 |
450 |
450 |
250 |
600 |
850 |
1 216 |
|
8 |
1 |
4 500 |
4 500 |
2 500 |
300 |
2 800 |
4 007 |
|
9 |
1 |
6 300 |
6 300 |
3 500 |
700 |
4 200 |
6 011 |
|
10 |
1 |
4 500 |
4 500 |
2 500 |
500 |
3 000 |
4 293 |
|
11 |
2 |
2 835 |
2 835 |
1 575 |
270 |
1 845 |
2 640 |
|
12 |
2 |
2 430 |
2 430 |
1 350 |
270 |
1 620 |
2 318 |
|
13 |
2 |
2 025 |
2 025 |
1 125 |
270 |
1 395 |
1 996 |
|
14 |
2 |
1 215 |
1 215 |
675 |
45 |
720 |
1 030 |
|
15 |
2 |
1 215 |
1 215 |
675 |
45 |
720 |
1 030 |
|
16 |
2 |
1 620 |
1 620 |
900 |
270 |
1 170 |
1 674 |
|
17 |
2 |
1 620 |
1 620 |
900 |
135 |
1 035 |
1 481 |
|
18 |
2 |
1 620 |
1 620 |
900 |
135 |
1 035 |
1 481 |
|
Total |
|
61 380 |
61 380 |
34 100 |
8 790 |
42 890 |
61 380 |
Table 58 : Exemple de calcul des volumes émis et attiré pour la couche de la demande UD
|
Couche de la demande |
UU |
|||||
|
|
Domicile |
Origine |
|
|
|
|
|
Groupe d’usagers ou caractéristique de zone |
|
Emplois dans le secteur tertiaire et habitants |
||||
|
Ordre de calcul |
|
2.1 |
2.2 |
2.3 |
2 |
|
|
Zone |
Type de zone |
D |
PO Hab. |
PO Emp-T |
PO Total |
E |
|
1 |
1 |
4 200 |
3 500 |
550 |
4 050 |
3 864 |
|
2 |
1 |
6 300 |
5 250 |
2 250 |
7 500 |
7 156 |
|
3 |
1 |
4 200 |
3 500 |
650 |
4 150 |
3 959 |
|
4 |
1 |
3 000 |
2 500 |
500 |
3 000 |
2 862 |
|
5 |
1 |
1 800 |
1 500 |
800 |
2 300 |
2 194 |
|
6 |
1 |
1 200 |
1 000 |
500 |
1 500 |
1 431 |
|
7 |
1 |
300 |
250 |
600 |
850 |
811 |
|
8 |
1 |
3 000 |
2 500 |
300 |
2 800 |
2 671 |
|
9 |
1 |
4 200 |
3 500 |
700 |
4 200 |
4 007 |
|
10 |
1 |
3 000 |
2 500 |
500 |
3 000 |
2 862 |
|
11 |
2 |
1 890 |
1 575 |
270 |
1 845 |
1 760 |
|
12 |
2 |
1 620 |
1 350 |
270 |
1 620 |
1 546 |
|
13 |
2 |
1 350 |
1 125 |
270 |
1 395 |
1 331 |
|
14 |
2 |
810 |
675 |
45 |
720 |
687 |
|
15 |
2 |
810 |
675 |
45 |
720 |
687 |
|
16 |
2 |
1 080 |
900 |
270 |
1 170 |
1 116 |
|
17 |
2 |
1 080 |
900 |
135 |
1 035 |
987 |
|
18 |
2 |
1 080 |
900 |
135 |
1 035 |
987 |
|
Total |
|
40 920 |
34 100 |
8 790 |
42 890 |
40 920 |
Table 59 : Exemple de calcul des volumes émis et attiré pour la couche de la demande UU (1)
|
Couche de la demande |
UU |
||||
|
|
Destination |
|
|
|
|
|
Groupe d’usagers ou caractéristique de zone |
Emplois dans le secteur tertiaire et habitants |
||||
|
Ordre de calcul |
3.1 |
3.2 |
3.3 |
3 |
|
|
Zone |
Type de zone |
PD Hab. |
PD Emp-T |
PD Total |
A |
|
1 |
1 |
3 500 |
550 |
4 050 |
3 864 |
|
2 |
1 |
5 250 |
2 250 |
7 500 |
7 156 |
|
3 |
1 |
3 500 |
650 |
4 150 |
3 959 |
|
4 |
1 |
2 500 |
500 |
3 000 |
2 862 |
|
5 |
1 |
1 500 |
800 |
2 300 |
2 194 |
|
6 |
1 |
1 000 |
500 |
1 500 |
1 431 |
|
7 |
1 |
250 |
600 |
850 |
811 |
|
8 |
1 |
2 500 |
300 |
2 800 |
2 671 |
|
9 |
1 |
3 500 |
700 |
4 200 |
4 007 |
|
10 |
1 |
2 500 |
500 |
3 000 |
2 862 |
|
11 |
2 |
1 575 |
270 |
1 845 |
1 760 |
|
12 |
2 |
1 350 |
270 |
1 620 |
1 546 |
|
13 |
2 |
1 125 |
270 |
1 395 |
1 331 |
|
14 |
2 |
675 |
45 |
720 |
687 |
|
15 |
2 |
675 |
45 |
720 |
687 |
|
16 |
2 |
900 |
270 |
1 170 |
1 116 |
|
17 |
2 |
900 |
135 |
1 035 |
987 |
|
18 |
2 |
900 |
135 |
1 035 |
987 |
|
Total |
|
34 100 |
8 790 |
42 890 |
40 920 |
Table 60 : Exemple de calcul des volumes émis et attiré pour la couche de la demande UU (2)
Dans la mesure où toutes les couches de la demande présentent des contraintes de totaux marginaux strictes, la compensation des totaux marginaux peut être exécutée consécutivement à la génération des déplacements. Le trafic émis et attiré total de chaque zone est dans un premier temps calculé pour les couches de la demande DT, DU, TD, UD et les différences résultantes sont compensées par modification des volumes de déplacements dans la couche de la demande UU.
|
Nota : Veuillez noter que le trafic émis et attiré total de cette couche de la demande reste inchangé. |
|
|
Total DT+DU+TD+UD |
Différences |
||
|
Zone |
E |
A |
E |
A |
|
1 |
15 689 |
15 534 |
155 |
0 |
|
2 |
28 857 |
29 116 |
0 |
259 |
|
3 |
15 832 |
15 677 |
155 |
0 |
|
4 |
11 418 |
11 375 |
43 |
0 |
|
5 |
8 493 |
8 708 |
0 |
215 |
|
6 |
5 651 |
5 767 |
0 |
116 |
|
7 |
3 075 |
3 368 |
0 |
293 |
|
8 |
10 693 |
10 536 |
157 |
0 |
|
9 |
16 294 |
16 205 |
89 |
0 |
|
10 |
11 293 |
11 217 |
76 |
0 |
|
11 |
6 914 |
6 877 |
37 |
0 |
|
12 |
6 114 |
6 092 |
22 |
0 |
|
13 |
5 314 |
5 307 |
7 |
0 |
|
14 |
3 038 |
3 004 |
34 |
0 |
|
15 |
2 965 |
2 946 |
19 |
0 |
|
16 |
4 514 |
4 523 |
0 |
9 |
|
17 |
3 966 |
3 917 |
49 |
0 |
|
18 |
3 966 |
3 917 |
49 |
0 |
|
Total |
164 086 |
164 086 |
892 |
892 |
Table 61 : Exemple de calcul pour la compensation des totaux marginaux (1)
|
|
UU avant compensation des totaux marginaux |
UU après compensation des totaux marginaux |
||
|
Zone |
E |
A |
E |
A |
|
1 |
3 864 |
3 864 |
3 780 |
3 934 |
|
2 |
7 156 |
7 156 |
7 258 |
7 000 |
|
3 |
3 959 |
3 959 |
3 873 |
4 028 |
|
4 |
2 862 |
2 862 |
2 800 |
2 843 |
|
5 |
2 194 |
2 194 |
2 361 |
2 147 |
|
6 |
1 431 |
1 431 |
1 516 |
1 400 |
|
7 |
811 |
811 |
1 087 |
793 |
|
8 |
2 671 |
2 671 |
2 613 |
2 770 |
|
9 |
4 007 |
4 007 |
3 920 |
4 009 |
|
10 |
2 862 |
2 862 |
2 800 |
2 876 |
|
11 |
1 760 |
1 760 |
1 722 |
1 759 |
|
12 |
1 546 |
1 546 |
1 512 |
1 534 |
|
13 |
1 331 |
1 331 |
1 302 |
1 309 |
|
14 |
687 |
687 |
672 |
706 |
|
15 |
687 |
687 |
672 |
691 |
|
16 |
1 116 |
1 116 |
1 101 |
1 092 |
|
17 |
987 |
987 |
966 |
1 015 |
|
18 |
987 |
987 |
966 |
1 015 |
|
Total |
40 920 |
40 920 |
40 920 |
40 920 |
Table 62 : Exemple de calcul pour la compensation des totaux marginaux (2)
Les résultats de l’opération Génération des déplacements EVA sont enregistrés dans des attributs de zones.
|
Attribut |
Sous-attribut |
Signification et plage de valeurs |
|
Volume domicile |
Couche de la demande |
Volume de domicile pour la couche de la demande Plage de valeurs : nombre à virgule flottante |
|
Volume émis cible |
Couche de la demande |
Volume émis pour la couche de la demande avant prise en considération des contraintes de totaux marginaux Plage de valeurs : nombre à virgule flottante |
|
Volume attiré cible |
Couche de la demande |
Idem pour le volume attiré Plage de valeurs : nombre à virgule flottante |
|
Volume émis |
Couche de la demande |
Volume émis pour la couche de la demande après prise en considération des contraintes de totaux marginaux et compensation des totaux marginaux Nota Cet attribut est uniquement disponible après l’opération Génération des déplacements EVA si toutes les couches de la demande présentent des contraintes de totaux marginaux strictes, sinon il est seulement disponible après l’opération Distribution/Choix modal EVA. Plage de valeurs : nombre à virgule flottante |
|
Volume attiré |
Couche de la demande |
Idem pour le volume attiré Plage de valeurs : nombre à virgule flottante |
Table 63 : Attributs de zone avec les résultats de la génération des déplacements du modèle de la demande EVA

pour le calcul des volumes de déplacements des zones