Indépendance de liaisons
Aucun des modèles de répartition présentés précédemment (Modèles de répartition dans l’affectation) n’est en mesure, dans sa formulation habituelle, de prendre en considération des interactions entre différentes liaisons dans la procédure d’affectation selon les horaires. La non prise en considération de cet aspect peut néanmoins représenter un inconvénient.
Pour modéliser des interactions, on définit des fonctions wi qui décrivent l’influence d’autres liaisons sur une liaison i. La plage des valeurs de wi est l’intervalle [0,1]. Lorsque j n’a aucune influence sur i, wi(j) = 0, en cas de concordance totale entre i et j, wi(j) = 1, ce qui signifie que wi(i) = 1.
Les indicateurs suivants sont utilisés pour déterminer la valeur de wi(j).
- la proximité temporelle des deux liaisons quant aux heures de départ et d’arrivée
- l’avantage de i par rapport à j en ce qui concerne le temps de déplacement perçu
yi(j) := TDPj - TDPi
- l’avantage de i par rapport à j quant au tarif
zi(j) := Tarifj - Tarifi
wi peut alors être défini de la manière suivante :
,
avec
et 
Les paramètres s > 0 sont des paramètres internes qui servent à contrôler les plages d’influence des trois indicateurs.c est une constante qui contrôle l’influence absolue du second facteur et que vous spécifiez dans la plage [0,1].
Le premier facteur modélise la proximité temporelle de i et j. En cas de temps identique, xi(j) = 0, de sorte que ce facteur a en tout la valeur 1. Lorsque pour la différence temporelle, xi(j) ≥ sx, le terme est par contre nul et par conséquent wi(j) = 0. La valeur sx est donc l’écart temporel maximal permettant une influence de j sur i.
Si au moins une liaison ne contient aucune position temporelle (p. ex. des chemins TAD), le premier facteur ne peut pas être déterminé de la façon décrite ci-dessus. Il est alors défini comme suit :
- 0, si une liaison précise ne possède aucune position temporelle ;
- 1, si deux liaisons ne possèdent aucune position temporelle.
Le second facteur se situe entre 1 (en cas d’égalité totale dans le sens de yi(j) = 0 et zi(j) = 0) et 1 - c (en cas de grande divergence entre i et j). Par analogie avec sx, on définit sy+ ou sy- comme avantage ou inconvénient temporel maximal de i permettant une influence de j sur i. Il en est de même avec sz quant au tarif. Une relation entre sy- = 2sy+ et sz- = 2sz+ découle de la configuration par défaut. Cette asymétrie favorise la meilleure de deux liaisons proches dans le temps, car l’influence de la meilleure alternative sur la moins bonne est plus importante que l’inverse. Pour cette raison, il est généralement recommandé de spécifier CoeffIndQualitéÉlevée (CIQE) < CoeffIndQualitéMoindre (CIQM). En cas de non-respect de cette règle, une alerte s’affiche au début de l’affectation (ou un message d’erreur dans la fenêtre).
Globalement, les paramètres sont définis comme suit :
sx = min (2 • temps d’attente moyen d’un voyageur arrivant au hasard à l’arrêt entre le premier et le dernier départ, plage horaire maximale)
sy+ = CIQE • TDP moyen dans l’intervalle d’affectation entier
sy- = CIQM • TDP moyen dans l’intervalle d’affectation entier
sz+ = CIQE • tarif moyen dans l’intervalle d’affectation entier
sz- = CIQM • tarif moyen dans l’intervalle d’affectation entier
|
Nota : Seuls la position temporelle, le TDP et le tarif sont comparés, le tracé de service n’étant pas évalué. |
Lorsqu’il n’existe aucun tarif (c.-à-d. Tarifi = 0 pour toutes les liaisons i), on pose sz = 1.
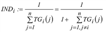
On définit alors l’attribut Indépendance d’une liaison de la manière suivante.
o
Soit n le nombre total des liaisons.
Modèles de répartition tenant compte de l’indépendance
Si on utilise l’indépendance dans le cadre du choix de liaisons, cet attribut doit être intégré dans le modèle de répartition. Dans la version ci-dessus, on a calculé l’utilité Uia d’une liaison i pour chaque intervalle de temps a et on en a déduit le pourcentage de la demande de déplacements dans l’intervalle de temps qui lui revient. Lorsqu’on utilise l’indépendance, Uia • INDi se substitue à Uia, c.-à-d. que l’approche suivante s’applique :
Cette dépendance linéaire de l’attribut d’indépendance garantit que k alternatives identiques simultanées sont traitées comme une seule liaison. En effet, selon la définition d’IND, l’indépendance de chacune des k alternatives est exactement 1 / k (si aucune autre liaison proche dans le temps n’a d’influence). Ainsi la pondération cumulée dans la formule de répartition correspond exactement à la pondération d’une seule liaison de même type non démultipliée.
Comparaison des modèles de répartition tenant compte de l’indépendance
Dans la Table 188 à la Table 192, les différents modèles de répartition sont chacun comparés avec et sans indépendance. Soient les paramètres de procédure choisis de la manière contenue dans la Table 187.
Les données des liaisons qui se distinguent de l’exemple précédent respectif apparaissent en caractères gras dans la Table 188 à la Table 192. Toutes les parts de la demande de déplacements à affecter sont indiquées en pourcentages.
|
Données de la liaison |
Répartition sans IND |
Répartition avec IND |
||||||||||
|
N° |
Dép |
Arriv |
TDP |
Tarif |
Kirchhoff |
Logit |
Box-Cox |
Lohse |
Kirchhoff |
Logit |
Box-Cox |
Lohse |
|
1 |
10 |
30 |
20 |
3,00 |
33,3 |
33,3 |
33,3 |
33,3 |
33,3 |
33,3 |
33,3 |
33,3 |
|
2 |
30 |
50 |
20 |
3,00 |
33,3 |
33,3 |
33,3 |
33,3 |
33,3 |
33,3 |
33,3 |
33,3 |
|
3 |
50 |
70 |
20 |
3,00 |
33,3 |
33,3 |
33,3 |
33,3 |
33,3 |
33,3 |
33,3 |
33,3 |
|
Données de la liaison |
Répartition sans IND |
Répartition avec IND |
||||||||||
|
N° |
Dép |
Arriv |
TDP |
Tarif |
Kirchhoff |
Logit |
Box-Cox |
Lohse |
Kirchhoff |
Logit |
Box-Cox |
Lohse |
|
1 |
10 |
30 |
20 |
3,00 |
25 |
25 |
25 |
25 |
33,3 |
33,3 |
33,3 |
33,3 |
|
2 |
30 |
50 |
20 |
3,00 |
25 |
25 |
25 |
25 |
16,7 |
16,7 |
16,7 |
16,7 |
|
3 |
30 |
50 |
20 |
3,00 |
25 |
25 |
25 |
25 |
16,7 |
16,7 |
16,7 |
16,7 |
|
4 |
50 |
70 |
20 |
3,00 |
25 |
25 |
25 |
25 |
33,3 |
33,3 |
33,3 |
33,3 |
|
Données de la liaison |
Répartition sans IND |
Répartition avec IND |
||||||||||
|
N° |
Dép |
Arriv |
TDP |
Tarif |
Kirchhoff |
Logit |
Box-Cox |
Lohse |
Kirchhoff |
Logit |
Box-Cox |
Lohse |
|
1 |
10 |
30 |
20 |
3,00 |
25 |
25 |
25 |
25 |
32,7 |
32,7 |
32,7 |
32,7 |
|
2 |
30 |
50 |
20 |
3,00 |
25 |
25 |
25 |
25 |
17,3 |
17,3 |
17,3 |
17,3 |
|
3 |
32 |
52 |
20 |
3,00 |
25 |
25 |
25 |
25 |
17,3 |
17,3 |
17,3 |
17,3 |
|
4 |
50 |
70 |
20 |
3,00 |
25 |
25 |
25 |
25 |
32,7 |
32,7 |
32,7 |
32,7 |
|
Données de la liaison |
Répartition sans IND |
Répartition avec IND |
||||||||||
|
N° |
Dép |
Arriv |
TDP |
Tarif |
Kirchhoff |
Logit |
Box-Cox |
Lohse |
Kirchhoff |
Logit |
Box-Cox |
Lohse |
|
1 |
10 |
30 |
20 |
3,00 |
25,9 |
26,7 |
26,2 |
25,1 |
31,9 |
32,6 |
32,2 |
31,2 |
|
2 |
30 |
50 |
20 |
3,00 |
25,9 |
26,7 |
26,2 |
25,1 |
20,2 |
20,7 |
20,4 |
19,8 |
|
3 |
32 |
47 |
20 |
3,30 |
22,3 |
19,8 |
21,3 |
24,6 |
16,0 |
14,1 |
15,2 |
17,8 |
|
4 |
50 |
70 |
20 |
3,00 |
25,9 |
26,7 |
26,2 |
25,1 |
31,9 |
32,6 |
32,2 |
31,2 |
Le fait que les liaisons 1, 2 et 4 sont toutes chargées avec le même nombre de voyageurs dans tous les cas de répartition sans IND illustre l’importance d’une prise en considération des interactions entre différentes alternatives. On constate qu’on peut alors obtenir de meilleurs résultats avec tous les modèles de répartition.