Indicateurs dérivés

Les indicateurs dérivés (Table 169) résultent d’une combinaison des indicateurs des listes précédentes.

Indicateur

Définition

Temps généralisé dans un intervalle de temps TGI (IPD)

Temps généralisé d’une liaison = f (temps de déplacement perçu, tarif, disponibilité temporelle). Pour la matrice d’indicateurs, vous pouvez spécifier si la composante temporelle doit être incluse en minutes ou en secondes dans le temps généralisé.

Logsum Temps généralisé (ILS)

Fonction logsum du temps généralisé. Sélectionnable pour l’affectation selon les horaires et uniquement en relation avec le modèle de répartition « Logit ». Cet indicateur représente une fonction d’agrégation alternative pour l’indicateur « Temps généralisé ». Les indications fournies sous « Agrégation » n’ont ici aucun effet. La fonction logsum du temps généralisé pour un intervalle de temps de la demande est défini par

LogSum = - 1/β • Ln Σv exp( -β • Wv ),

où le cumul est effectué sur toutes les liaisons V, Wv correspond au temps généralisé de la liaison V, β au paramètre Logit du modèle de répartition et Ln au logarithme naturel.

L’indicateur pour une relation correspond à la moyenne pondérée de tous les intervalles de temps de la demande, où la pondération correspond à la demande de l’intervalle de temps correspondant. La définition évolue comme suit si l’indépendance est utilisée :

LogSum = -1/β • Ln Σv INDAv • exp(β • Wv),

INDAV correspond à l’indépendance ajustée de la liaison V. L’indépendance ajustée est calculée un peu différemment que dans le cas général, voir aussi le chapitre (Indépendance de liaisons). Au lieu de la définition générale :

INDV = 1 / ( 1 + ∑i≠j wi(j) )

devient ici

INDAV = 1 / ( 1 + ∑i≠j exp(-|Δti - Δtj|) • wi(j) )

Δti correspond à la différence de temps entre l’heure de départ proposée et l’heure de départ souhaitée. La fonction logsum du temps généralisé peut être utilisée dans les modèles de la demande au lieu du temps généralisé. Cet indicateur apporte l’avantage qu’une amélioration de l’offre, par exemple à travers l’ajout d’une liaison, n’entraîne jamais une détérioration de l’indicateur, ce qui peut arriver au contraire avec le temps généralisé moyen.

Nota

Lors de l’utilisation de l’indépendance, l’ajout d’une liaison peut entraîner une détérioration infime de l’indicateur dans des constellations très spécifiques.

Vitesse de déplacement VD (JRS)

Rapport de la distance de déplacement et du temps de déplacement d’une zone d’origine à une zone de destination [km/h]

Vitesse de déplacement [km/h] = (Distance de déplacement [m] / 1 000) / (Temps de déplacement [min] / 60)

Vitesse à vol d’oiseau VVO (DIS)

Rapport de la distance à vol d’oiseau et du temps de déplacement d’une zone d’origine à une zone de destination [km/h]

Vitesse à vol d’oiseau [km/h] = (Distance à vol d’oiseau [m] / 1 000) / (Temps de déplacement [min] / 60)

Distance proportionnelle en véhicule par SysTr DP (IVTP)

Pourcentage de la distance d’une liaison parcourue revenant à un système de transport

Temps de déplacement équivalent TDE (EJT)

Indicateur calculé selon une formule définie par l’utilisateur conformément aux paramètres configurés. L’unité de l’indicateur calculé comme temps de déplacement équivalent découle de la formule définie par l’utilisateur.

Temps généralisé avancé

Le temps généralisé avancé est une composante du temps de déplacement perçu (TDP). Il peut être défini dans la configuration pour le temps généralisé de l’affectation selon les horaires et n’est donc disponible que dans l’affectation selon les horaires.

Utilité (UTL)

L’indicateur Utilité (Utility en anglais) repose sur les constats suivants :

  • D’une part, l’utilité repose sur C, qui est l’ensemble des liaisons déterminées pour une relation.
  • D’autre part, l’utilité repose sur l’ensemble des intervalles de temps T = (t1, ..., tn), résultant de la courbe de distribution valable pour la relation ou d’une subdivision plus détaillée du temps éventuelle.

Chaque liaison c de C présente un temps généralisé wt(c) qui dépend de t pour chaque intervalle de temps t de T, car le temps généralisé peut inclure la différence entre l’intervalle de temps et le départ de la liaison.

L’utilité correspondante ut(c) est calculée à partir du temps généralisé wt(c) à l’aide d’une fonction d’utilité f antitone d’après ut(c) = f (wt(c)).

Dans le modèle Logit, on a f(x) = e-bx.

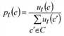
La part de la demande de l’intervalle t revenant à une liaison c est alors déterminée selon la formule suivante.

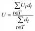
Le dénominateur comprend l’utilité totale de l’intervalle de temps, abrégé Ut.

Contrairement aux indicateurs de liaison moyens, Ut s’améliore avec chaque liaison ajoutée à l’offre de transport.

C’est la raison pour laquelle Ut moyenne pour tous les intervalles de temps est affichée comme indicateur propre.

On a dt = demande totale de l’intervalle de temps t.

Incommodité en raison d’une surcharge de capacité INC (DISC)

Temps pendant lequel un voyageur ne dispose pas d’une place assise pendant son déplacement.

L’indicateur est calculé en tant que temps de transport en véhicule pondéré selon les éléments de service dont la pondération est une fonction de l’occupation (charge/places assises).

Pour chaque chemin TC C, l’incommodité E(C) est obtenue de la manière suivante.

a = indice instantané pour tous les éléments de service d’un chemin TC C

Fa = temps de transport en véhicule de l’élément de service a (connu à partir de son profil de temps de parcours)

Pa = nombre de voyageurs sur l’élément de service a (pour tous les chemins, connus à partir de l’affectation)

Sa = nombre de places assises sur l’élément de service a (à partir du nombre total de places assises de toutes les sections de services qui empruntent l’élément de service le jour concerné)

A,B = paramètres libres

Les composantes de liaison piétonne et de TCAux du chemin TC sont ignorées.

Nota

  • L’incommodité en raison d’une surcharge de capacité est uniquement calculée avec une affectation selon les horaires.
  • L’indicateur Incommodité est toujours spécifié dans l’unité des secondes.

Part de déplacements de voyageurs avec retard pertinent

Parts de voyageurs devant compter sur un retard qui dépasse un seuil défini

Risque de retard par personne

Le risque de retard par personne d’une relation correspond à la somme pondérée de toutes les correspondances qui y ont lieu comme le risque de retard à la descente à destination.

Part de dépassements de capacité

Part de voyageurs dont la montée a été proscrite en raison du dépassement de capacité des véhicules.

Risque par personne en raison de dépassement de capacité

Le risque de ne pas pouvoir monter auquel chaque personne d’une relation est exposée est calculé comme la somme pondérée sur toutes les correspondances et ajoutée au risque de la montée d’origine.

Table 169 : Indicateurs dérivés