Berechnung auslastungsabhängiger Widerstände
Die Auslastung Av auf dem Fahrplanfahrtelement v ergibt sich in allen Optionen aus:
Die Kapazität v entspricht dem Wert des von Ihnen angegebenen Attributs für die Sitzplatzkapazität eines Fahrplanfahrtelements. Die voreingestellte Standardbelegung summiert über alle Fahrplanfahrtabschnitte, die das Fahrplanfahrtelement unabhängig von ihrem Verkehrstag bedienen. Die Belastung eines Fahrplanfahrtelements ergibt sich aus der Summe der Belastungen aller Verbindungen, die es verwenden:
Teilwege mit ÖV-Zusatz bleiben bei der Berechnung auslastungsabhängiger Widerstände unberücksichtigt.
Berechnung aus den erwarteten Steherminuten (Deutsche Bahn – (DB))
Die erwarteten Steherminuten (E) sind der Mittelwert der Zeit, in der ein Fahrgast im Verlauf einer Fahrt keinen Sitzplatz hat, wenn auf jedem Halteabschnitt die Sitzplätze zufällig unter den Reisenden vergeben werden. Letzteres ergibt sich aus der Tatsache, dass nicht zwischen Fahrgästen unterschieden werden kann, die bereits vor einem überlasteten Streckenabschnitt im Fahrzeug sind, und jenen, die in diesem Abschnitt zusteigen. Diese Interpretation der Steherminuten gilt, wenn die Kapazität eines Fahrplanfahrtelements in Bezug auf die Sitzplätze definiert wird. Allgemein handelt es sich um einen Diskomfort, der mit zunehmender Auslastung steigt.
Die Steherwahrscheinlichkeit auf einem Fahrplanfahrtelement v wird durch eine potentiell asymptotische Funktion approximiert:
a und b sind Parameter, die von Ihnen angegeben werden müssen, Av ist die Auslastung.
Die erwarteten Steherminuten einer Verbindung V entsprechen dem belastungsabhängigen Widerstand und ergeben sich durch Aufsummieren des Produkts aus Steherwahrscheinlichkeit und Fahrzeit über alle Fahrtplanfahrtelemente der Verbindung:
Berechnung mittels einer Bestrafungsfunktion (Schweizer Bundesbahnen – (SBB))
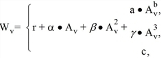
Der Widerstand eines Fahrplanfahrtelements v ist gegeben durch:
Die Parameter a, b, c, l1 und l2 müssen von Ihnen angegeben werden, Av ist die Auslastung eines Fahrplanfahrtelements v. Die Parameter r, α, ß und γ ergeben sich daraus, weil die Funktion an den Stellen l1 und l2 stetig differenzierbar ist.
Damit ergibt sich der Widerstand einer Verbindung V durch:
Berechnung mittels einer linearen Bestrafungsfunktion (Linear)
Der Widerstand eines Fahrplanfahrtelements v ist gegeben durch:
Die Parameter a und b sind benutzerdefiniert, Av ist die Auslastung eines Fahrplanfahrtelements v.
Damit ergibt sich der Widerstand einer Verbindung V durch:
Berechnung mittels der Funktion DGITM – CGSP (France)
Im Gegensatz zu den anderen Berechnungen des auslastungsabhängigen Widerstandes wird der Widerstand eines Fahrplanfahrtelements v für zwei Fälle unterschieden:
Die Größe k_Sitz ergibt sich aus:
k_Sitz = a + b * p
Die Größe k_Steh wird wie folgt berechnet:
k_Steh = c + e * p
wobei p die Anzahl der stehenden Fahrgäste pro Flächeneinheit ist. Sie können die Einheit für die Berechnung von Flächen in den Netzeinstellungen festlegen (Anwendung: Standardeinstellung für das Einheitensystem im aktuellen Netz wählen). p wird berechnet aus:
p = Anzahl stehende Fahrgäste/Anzahl der Stehplätze • maximale Fahrgastdichte.
Zur Berechnung der Anzahl Stehplätze sind die Eingaben der Anzahl Gesamtplätze und Sitzplätze erforderlich. Weiterhin wird angenommen, dass es stehende Fahrgäste erst gibt, wenn die Belastung die Anzahl der Sitzplätze übersteigt.
a, b, c und e sind Parameter, die von Ihnen angegeben werden müssen.
Damit ergibt sich der Widerstand einer Verbindung V durch:

