Kopplung von Fahrplanfahrten
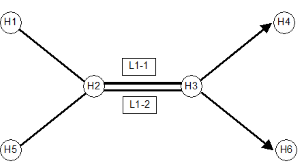
Beim Flügeln und Koppeln werden die Wagen von zwei oder mehr Zügen auf gemeinsamen Abschnitten gekoppelt. Die Abbildung zeigt eine Reihe von Beispielen für das Koppeln von zwei und drei Fahrplanfahrten. Um zwei Fahrplanfahrten auf einem Abschnitt zu koppeln, muss ihr räumlicher und zeitlicher Verlauf in einem gewissen Rahmen übereinstimmen. Dazu müssen die folgenden Bedingungen erfüllt sein:
- Die Fahr- und Haltezeiten der Fahrzeitprofile innerhalb des Koppelabschnitts sind gleich. Zur Korrektur können auf der Ebene von Fahrzeitprofilen Fahr- und Haltezeiten zwischen Fahrzeitprofilen übertragen werden.
- Die Abfahrtszeiten der Fahrten am Beginn des Koppelabschnitts sind gleich.
|
|
|
|
|
|
Abbildung 24: Beispiele für Flügeln und Koppeln von zwei und drei Linienrouten
Die Zahl der Fahrplanfahrten und ihre Abfahrtszeiten an den gekoppelten Haltestellen müssen nicht unbedingt übereinstimmen, fehlende Fahrten werden generiert.
Werden in Visum Fahrplanfahrten gekoppelt, bilden sie eine Koppelgruppe. Werden Fahrzeitprofile bezüglich Fahrzeiten oder Haltezeiten verändert passt sich das gekoppelte Fahrzeitprofil automatisch an.
Erstellung und Bearbeitung von Kopplungen
Kopplungen werden grundsätzlich auf der Ebene von Fahrplanfahrten definiert. Die Erstellung und Bearbeitung erfolgt deshalb aus dem tabellarischen Fahrplan heraus. Dabei wird von der Markierung einer oder mehrerer koppelbarer Fahrplanfahrten ausgegangen.
Basierend auf der Auswahl und verschiedener Eigenschaften, wie dem gemeinsamen Verlauf im gewählten Koppelbereich, überlappenden Verkehrstagen oder gleichen Betreibern oder Verkehrssystemen, werden dann gegebenenfalls weitere zur Kopplung geeignete Fahrplanfahrten angeboten. Zur Vorbereitung können auf der Ebene von Fahrzeitprofilen Fahr- und Haltezeiten zwischen Fahrzeitprofilen übertragen werden.
Kopplungen bei der Berechnung von ÖV-betrieblichen Kennzahlen
Kopplungen wirken sich in einigen Fällen auf die Berechnung von ÖV-betrieblichen Kennzahlen aus (Einfluss von Kopplungen). Auf welche Kennzahlen genau sie sich auswirken können Sie der Datei Kennzahlenverfügbarkeit.xls in Ihrer Visum-Installation entnehmen. Die Wirkung von Kopplungen soll an einigen Beispielen verdeutlicht werden.
- Servicezeit der Linienrouten
Wie bei den Kilometern, wird die Servicezeit nur einmal gerechnet und gleichmäßig aufgeteilt.
- Infrastrukturkosten der Linienrouten für Strecke und Haltepunkte
Streckenkosten (zum Beispiel Trassenpreise) und Haltepunktkosten fallen nur einmal an. Diese Kosten werden gleichmäßig auf die gekoppelten Linienrouten aufgeteilt.
- Anzahl Linienroutenfahrten und Fahrzeugkilometer der Strecke fallen auch nur einmal an.
Servicekilometer, Servicezeit und Infrastrukturkosten beeinflussen die Betriebskosten einer Linienroute, sodass sich für gekoppelte Linienrouten normalerweise niedrigere Kosten ergeben.
Auf die Umlaufbildung und auf die Umlegung hat das Koppeln keinen Einfluss.
Bei der Umlegung wird somit davon ausgegangen, dass der Sitzplatzwechsel beim Umsteigen innerhalb gekoppelter Linienrouten wie ein Umsteigevorgang behandelt wird.
Abbildung 25: Rechenbeispiel für die Berechnung von Kennzahlen bei Kopplungen
|
Anzahl Fahrten |
10 Fahrten |
|
Leerzeit |
10 min/Fahrt |
|
Kilometer-Kosten |
1 Euro/km |
|
Stunden-Kosten |
60 Euro/Std |
|
Trassenpreis |
1 Euro/km |
|
Sitzplätze |
100 Plätze/Fahrzeugkombination |
|
|
nicht gekoppelt |
nicht gekoppelt |
gekoppelt |
gekoppelt |
|
Linienroute |
L1-1 |
L1-2 |
L1-1 |
L1-2 |
|
ServiceKm |
1 300 km |
1 300 km |
1 050 km |
1 050 km |
|
SitzplatzKm |
13 000 km |
13 000 km |
13 000 km |
13 000 km |
|
Servicezeit |
900 min |
1 000 min |
750 min |
850 min |
|
Einsatzzeit |
1 000 min |
1 100 min |
850 min |
950 min |
|
Kosten |
1 300 Euro |
1 300 Euro |
1 050 Euro |
1 050 Euro |
|
Kosten |
1 000 Euro |
1 100 Euro |
850 Euro |
950 Euro |
|
Trassen-Kosten |
1 300 Euro |
1 300 Euro |
1 050 Euro |
1 050 Euro |
|
Gesamtkosten |
3 500 Euro |
3 600 Euro |
2 950 Euro |
3 050 Euro |
|
Anz Servicefahrten |
10 |
10 |
10 |
10 |
|
Strecke |
H2-H3 |
H3-H4 |
H2-H3 |
H3-H4 |
|
ServiceKm |
1 000 km |
400 km |
500 km |
400 km |
|
Anz Servicefahrten |
20 |
10 |
10 |
10 |
Fahrplanfahrtabschnittsbindungen
Mit Fahrplanfahrtabschnittsbindungen werden die Konzepte Zwangsbindung und Durchbindung im Datenmodell abgebildet. Sie werden im Datenmodell über dieselben Objekte abgebildet, wirken jedoch in unterschiedlicher Weise.
- Mit Zwangsbindungen wird abgebildet, dass die gebundenen Fahrplanfahrtabschnitte aus betrieblichen Gründen immer vom identischen Fahrzeug bedient werden sollen. In der Umlaufbildung wirkt dies als a priori-Festlegung, die Fahrplanfahrtabschnitte werden immer demselben Umlauf zugeordnet.
- Mit Durchbindungen werden Situationen modelliert, in denen aus Fahrgastsicht der Wechsel zwischen zwei Fahrplanfahrten nicht mit einem Umstieg verbunden ist. Das ist beispielsweise der Fall, wenn in Tramnetzen zwei Linien zu einem ringförmigen Verlauf verknüpft sind. An der Verknüpfungshaltestelle ändert sich somit der Linienname, sodass hier zwangsläufig eine neue Fahrplanfahrt beginnt. Mit Durchbindungen wird erreicht, dass beispielsweise in der fahrplanfeinen Umlegung, in der Kenngrößenberechnung und in der Kurzwegsuche trotz dieses Fahrplanfahrtwechsels kein Umstieg mit den entsprechenden Widerstandsgrößen (Umsteigezuschlag, - Wartezeit,… ) gewertet wird.
Beide Arten von Fahrplanfahrtabschnittsbindungen können gemeinsam auftreten. Eine Durchbindung ist in der Praxis immer auch eine Zwangsbindung und für beide gilt:
- Für jeden Tag, an dem der Fahrplanfahrtabschnitt verkehrt, kann es eine unterschiedliche Bindung geben.
- Ankunfts- und Abfahrts-Haltepunkt der beteiligten Fahrplanfahrtabschnitte müssen übereinstimmen (zumindest zur gleichen Haltestelle gehören).
- Die gebundenen Fahrplanfahrtabschnitte müssen nicht zur gleichen Linie gehören. Die gebundenen Linien dürfen sogar unterschiedlichen Verkehrssystemen und Betreibern zugeordnet sein.
- Die Bindung bindet auf die Abfahrt im Zeitraum von Ankunft bis 23h 59m 59s nach Ankunft – unabhängig von Übergangsgehzeiten etc.
Für die Fahrpreisermittlung werden zwei durch eine Durchbindung gebundene Fahrplanfahrtabschnitte als getrennte Teilwege betrachtet. Abhängig von der Teilwegregel der Tarifsysteme werden sie anschließend bepreist. Bei der Ermittlung von Tarifpunkten werden an der Verknüpfungshaltestelle nicht die Tarifpunkte für Ein- und Ausstieg, sondern die für Durchfahrt berücksichtigt.

