IV-Kapazität, IV-Geschwindigkeit und IV-Fahrzeit
Im unbelasteten Netz bei freiem Verkehrsfluss ergibt sich die Fahrzeit t0 für eine Strecke aus der Streckenlänge und der Geschwindigkeit bei freiem Verkehrsfluss v0.
- Input: Länge L [m],
- Input: Geschwindigkeit bei freiem Verkehrsfluss v0 [km/h]
- Ergebnis: Fahrzeit bei freiem Verkehrsfluss t0 [s] = L x 3,6 / v0
Die Geschwindigkeit v0-VSys der Fahrzeuge eines bestimmten Verkehrssystems kann niedriger sein als die Geschwindigkeit v0 einer Strecke, da für diese Fahrzeuge eine besondere Geschwindigkeitsbegrenzung gelten kann oder die Fahrzeuge nicht schneller fahren können. Die zulässige Höchstgeschwindigkeit eines IV-Verkehrssystems vMax-VSys ist ein Attribut des Streckentyps.
Für die Geschwindigkeit v0-VSys und die Fahrzeit t0-VSys gilt daher Folgendes:
- v0-VSys = MIN (v0, vMax-VSys)
- t0-VSys = L x 3,6 / v0-VSys
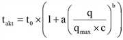
Im belasteten Netz ergibt sich die Streckenfahrzeit aus einer so genannten Capacity-Restraint-Funktion (CR-Funktion), die den Zusammenhang zwischen der aktuellen Verkehrsbelastung q und der Kapazität qmax beschreibt. Ergebnis der CR-Funktion ist die Fahrzeit im belasteten Netz takt.
- Input: Fahrzeit bei freiem Verkehrsfluss t0 [s]
- Input: Belastung q [Pkw-Einheiten/Analysezeitintervall]
- Input: Kapazität qmax [Pkw-Einheiten/Analysezeitintervall]
- Input: CR-Funktion, zum Beispiel BPR-Funktion des Traffic Assignment Manual
- Ergebnis: aktuelle Fahrzeit im belasteten Netz, zum Beispiel
(abhängig von CR-Funktionstyp)
- Ergebnis: aktuelle Fahrzeit eines VSys = MAX (takt, t0-VSys)
Abbildung 8 veranschaulicht, wie sich die Geschwindigkeiten vakt zweier IV-Verkehrssysteme in Abhängigkeit von der Belastung entwickeln.
|
Streckentyp Autobahn
|
Strecke v0 =130 km/h |
|
|
freier Verkehrsfluss
|
|
|
|
teilgebundener Verkehrsfluss
|
|
|
|
gebundener Verkehrsfluss
|
|
|
Abbildung 8: Beispiel für die unterschiedlichen Geschwindigkeiten zweier IV-Verkehrssysteme in Abhängigkeit von der Belastung

