Objekte einer Matrix aggregieren
Diese Funktion fasst mehrere Objekte einer Matrix zu einem oder mehreren neuen Objekten zusammen. Über das Aggregieren können Bezirke umbenannt und/oder zu größeren Einheiten (zum Beispiel Stadtteilen) zusammengefasst werden. Durch das Aggregieren verändert sich die Zeilen- und Spaltenzahl der Matrix.
Die neuen Matrixwerte werden durch eine der folgenden Formeln berechnet.
|
Arithmetisches Mittel |
|
|
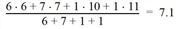
Gewichtetes Mittel |
|
mit
|
qi |
Matrixwert für den i-ten Bezirk |
|
gi |
Gewicht für den i-ten Bezirk |
|
n |
Anzahl Spalten oder Zeilen |
Beispiel für das Aggregieren von Objekten einer Matrix
Die Matrixwerte folgender Matrix werden aggregiert.
Bezirkszuordnungen und Einstellungen:
- Bezirk 10 wird aus der Matrix gelöscht
- Die Bezirke 20 und 30 werden zu einem neuen Bezirk 39 zusammengefasst
- Als Aggregationsfunktion wird die gewichtete Mittelung verwendet
- Die Matrixwerte werden mit folgender Matrix gewichtet
- Quell- und Zielbezirke der Matrix werden aggregiert
- Die Matrixwerte der Ausgangsmatrix werden verwendet
Daraus ergibt sich folgende Matrix.
Die Matrixwerte für den Zielbezirk 39 wurden folgendermaßen berechnet:
|
Hinweis: Aggregieren Sie eine gefilterte Matrix, werden nur die gefilterten Werte aggregiert. |

