Moduswahl
Das Verfahren Moduswahl wird im Rahmen eines Vier-Stufen-Modells mit sequentieller Berechnung der Schritte verwendet. Die einstufige Moduswahl teilt die gesamte Nachfrage (Gesamtnachfragematrix) pro Nachfrageschicht auf die einzelnen Verkehrsmodi (zum Beispiel IV, ÖV) anhand modusspezifischer Widerstandskenngrößen (für Reisezeit, Kosten, usw.) auf.
Für jeden Modus m wird zunächst der Nutzen als Linearkombination der Widerstandskenngrößen berechnet.
wobei
|
cijmg |
Widerstand der Kostenart g für die Ortsveränderung von Bezirk i nach Bezirk j mit Modus m |
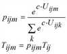
Aus den Nutzen der verschiedenen Modi ergeben sich ihre Anteile an den Fahrten jeder Relation. Sie haben die Wahl zwischen verschiedenen Verteilungsfunktionen (Gravitationsmodell rechnen). Beispielhaft ist die Berechnung für das Logit-Modell angegeben.
wobei Tij die Gesamtfahrtenzahl der Nachfrageschicht in der Relation i-j, Tijm die Zahl der mit Modus m ausgeführten Fahrten und c ein Verfahrensparameter sind.
Es gibt zwei Arten von Nachfrageschichten.
- Solche, die direkt auf eine Nachfragematrix verweisen, die einem (oder mehreren) Nachfragesegment(en) zugeordnet ist
- Solche, deren Nachfragematrix mit keinem Nachfragesegment verknüpft ist
Für Nachfrageschichten, die direkt auf eine Matrix mit Nachfragesegment verweisen, wird keine Moduswahl durchgeführt.
Bei Nachfrageschichten, deren Nachfragematrix mit keinem Nachfragesegment verknüpft ist, legen Sie im Nachfragemodell je Modus fest, auf welche Nachfragematrix die auf diesen Modus entfallende Nachfrage in der Moduswahl zu addieren ist.

