EVA-Verkehrserzeugung
Im EVA-Modell berechnet sich das Quell- und Zielaufkommen der Bezirke, ähnlich wie beim Standard-Vier-Stufen-Modell, auf der Basis von demografischen (Einwohnerzahlen) und strukturellen (Arbeitsplätze, Verkaufsfläche im Einzelhandel, …) Größen sowie von Mobilitätsraten, die aus statistischen Untersuchungen des Verkehrsverhaltens bekannt sind. Die Berechnung erfolgt getrennt für jede Nachfrageschicht, das heißt also für jedes Aktivitätenpaar mit seinen maßgeblichen Personengruppen.
Quell- und Zielaufkommen beziehen sich im Verfahren EVA-Verkehrserzeugung normalerweise auf eine „verkehrlich geschlossene“ Zeiteinheit (in der Regel einen durchschnittlichen Werktag). Auch die nachfolgenden Modellschritte EVA-Bewertung und EVA-Verkehrsverteilung und Moduswahl beziehen sich auf den Gesamtzeitraum. Erst die am Ende der Modellkette vorliegenden Nachfragematrizen können mit einer empirisch bestimmten oder standardisierten Tagesganglinie (Abbildung 62) kombiniert werden, um Nachfrageanteile für einzelne Tageszeiten zu erhalten. Die Tagesganglinien hängen von der Nachfrageschicht ab.
Abbildung 62: Tagesganglinien für die Quelle-Ziel-Gruppen WA und AW (SrV 1987 Dresden)
Die folgenden Tabellen zeigen die Zuordnung von Aktivitäten, Aktivitätenpaaren, Strukturgrößen und Personengruppen zu Nachfrageschichten. Dabei bedeuten W: Wohnen; A: Arbeit; K: Kindereinrichtung; B: Schule; D: Dienst; E: Einkauf; F: Freizeit; S: Sonstiges.
|
Von/Nach |
W |
A |
K |
B |
D |
E |
F |
S |
|
W |
|
WA |
WK |
WB |
WD |
WE |
WF |
WS |
|
A |
AW |
|
|
|
|
|
|
AS |
|
K |
KW |
|
|
|
|
|
|
|
|
B |
BW |
|
|
|
|
|
|
|
|
D |
DW |
|
|
|
|
|
|
|
|
E |
EW |
|
|
|
|
|
|
|
|
F |
FW |
|
|
|
|
|
|
|
|
S |
SW |
SA |
|
|
|
|
|
SS |
Tabelle 46: Typische Nachfrageschicht-Einteilung mit 8 Aktivitäten und 17 Nachfrageschichten = Aktivitätenpaaren
|
Nachfrageschicht |
Strukturgröße (S) / Personengruppe (P) des Quellbezirks i |
|
|
WA |
P |
Erwerbstätige |
|
WK |
P |
Kleinkinder |
|
WB |
P |
Schüler, Auszubildende, Studenten |
|
WD |
P |
Erwerbstätige |
|
WE |
P |
Einwohner |
|
WF |
P |
Einwohner |
|
WS |
P |
Einwohner |
|
AS |
S |
Arbeitsplätze |
|
AW |
S |
Arbeitsplätze |
|
KW |
S |
Arbeitsplätze / Kapazität |
|
BW |
S |
Arbeitsplätze / Kapazität |
|
DW |
S |
Arbeitsplätze |
|
EW |
S |
Arbeitsplätze / Verkaufsfläche |
|
FW |
S |
Arbeitsplätze / Kapazität |
|
SW |
S |
Sonstige Arbeitsplätze |
|
SA |
S |
Sonstige Arbeitsplätze |
|
SS |
S |
Sonstige Arbeitsplätze |
|
NSch |
Strukturgröße (S) / Personengruppe (P) des Zielbezirks j |
|
|
WA |
S |
Arbeitsplätze |
|
WK |
S |
Arbeitsplätze / Kapazität |
|
WB |
S |
Arbeitsplätze / Kapazität |
|
WD |
S |
Arbeitsplätze |
|
WE |
S |
Arbeitsplätze / Verkaufsfläche |
|
WF |
S |
Arbeitsplätze / Kapazität |
|
WS |
S |
Sonstige Arbeitsplätze |
|
AS |
S |
Sonstige Arbeitsplätze |
|
AW |
P |
Erwerbstätige |
|
KW |
P |
Kleinkinder |
|
BW |
P |
Schüler, Auszubildende, Studenten |
|
DW |
P |
Erwerbstätige |
|
EW |
P |
Einwohner |
|
FW |
P |
Einwohner |
|
SW |
P |
Einwohner |
|
SA |
S |
Arbeitsplätze |
|
SS |
S |
Sonstige Arbeitsplätze |
Tabelle 47: Beispiele für maßgebende Strukturgrößen und Personengruppen der Nachfrageschichten
So ist für die Nachfrageschichten WA und AW allein die Personengruppe Erwerbstätige (die allerdings in weitere Untergruppen zerlegt werden könnte) maßgebend, während für die Nachfrageschichten WE und EW im Allgemeinen alle Personengruppen berücksichtigt werden können. Die Personenzahlen aller Personengruppen in den einzelnen Bezirken bilden einen Teil der für die Verkehrserzeugung einer bestimmten Nachfrageschicht wesentlichen Eingabegrößen. Weitere Strukturgrößen messen die Intensität der Aktivitäten an Quelle oder Ziel. Ein Beispiel für die Zuordnung bestimmter Strukturgrößen zu den einzelnen Nachfrageschichten ist in Tabelle 47 zu finden.
Die hier angegebenen Personengruppen können nach weiteren Merkmalen (Kfz-Verfügbarkeit, Alter) in Untergruppen gegliedert und für die Verkehrserzeugung verwendet werden.
Für jede Nachfrageschicht und für jede dafür relevante Personengruppe sind Mobilitätsraten zu bestimmen. Die Mobilitätsrate einer Personengruppe ist definiert als mittlere Anzahl der Ortsveränderungen pro Tag und Person.
In den meisten Fällen sind die Werte MRpc aus nationalen statistischen Erhebungen zum Verkehrsverhalten bekannt und werden als konstant für alle Bezirke des Untersuchungsraums angenommen. Liegen jedoch für die einzelnen Bezirke unterschiedliche spezifische Verkehrsaufkommen vor, die zum Beispiel zwischen städtischen und ländlichen Gebieten differenzieren, so können auch diese verwendet werden. Dann bezeichnet MRepc das spezifische Verkehrsaufkommen der Personen- oder Bezugspersonengruppe p im Bezirk e (in einer bestimmten Nachfrageschicht c).
In analoger Weise legen Sie für die maßgebenden Strukturgrößen wie Anzahl der Arbeitsplätze, Einkaufsfläche usw. Erzeugungsraten − definiert als Anzahl der Ortsveränderungen pro Tag und Einheit der Strukturgröße − fest. Dazu können Sie empirische Erhebungen oder vorliegende Erfahrungswerte heranziehen. Auch hier ist eine Differenzierung nach Bezirken möglich. Aus dem Wert der Strukturgröße und der zugehörigen Erzeugungsrate ergibt sich das Strukturpotential des Bezirks.
Vom gesamten Quellaufkommen eines Bezirks verbleibt nur ein Teil der Ortsveränderungen im Untersuchungsgebiet, der Rest findet sein Ziel außerhalb. Analoges gilt für das Zielaufkommen. Da das EVA-Modell üblicherweise nur für die Berechnung des Binnenverkehrs im Untersuchungsgebiet dient (ein-/ausbrechender Verkehr sowie Durchgangsverkehr werden oft aus anderen Quellen ergänzt), können Sie für alle Quellbezirke (Zielbezirke) den Anteil der im betrachteten Untersuchungsgebiet realisierten Ortsveränderungen am gesamten Quellverkehr (Zielverkehr) festlegen.
Der Quellverkehr der Nachfrageschicht Wohnen-Arbeiten (WA) ergibt sich beispielsweise aus der Einwohnerzahl der Personengruppe Erwerbstätige (ET) und der Mobilitätsrate MRET,WA. Bei einem Bezirk R am Rande des Untersuchungsraums wird ein Teil der Erwerbstätigen jedoch zu Zielbezirken außerhalb des Untersuchungsraums pendeln. Dieser Anteil steht nicht für die nachfolgende Verkehrsverteilung und Moduswahl zur Disposition. Der Untersuchungsraumanteil UR,ET,WA ist in diesem Fall kleiner als 1 und drückt aus, dass nur dieser Anteil der Ortsveränderungen im Untersuchungsraum verbleibt. Für einen Bezirk Z im Zentrum liegen dagegen alle Fahrten der Nachfrageschicht im Untersuchungsraum. Dann ist UZ,ET,WA = 1. Untersuchungsraumanteile hängen nicht nur vom Bezirk, sondern auch von der Nachfrageschicht und der Personengruppe ab. Erwerbstätige mit Pkw (EmP) zum Beispiel pendeln wahrscheinlicher über große Entfernungen – und damit auch zu Zielen außerhalb des Untersuchungsraums als solche ohne Pkw (EoP). Falls Sie diese beiden Personengruppen im Modell unterscheiden, wäre typischerweise UR,EoP,WA > UR,EmP,WA. Analog dürfte UR,KK,WK > UR,EmP,WA sein, weil Kinderbetreuungsstätten eher in der näheren Umgebung des Wohnorts angesiedelt sind als die Arbeitsstätte.
Analog zur Mobilitätsrate einer Personengruppe kann auch die Erzeugungsrate einer Strukturgröße nur teilweise im Untersuchungsraum wirken. So bestimmt sich das Strukturpotential der Nachfrageschicht WA aus der Zahl der Arbeitsplätze (Strukturgröße B) und der zugehörigen Erzeugungsrate. Am Rande des Untersuchungsraums wird ein Teil der Arbeitsplätze jedoch von Erwerbstätigen eingenommen, die außerhalb des Untersuchungsraums wohnen. Diese Arbeitsplätze stehen deshalb nicht als potenzielles Ziel von WA-Wegen aus dem Untersuchungsraum zur Verfügung. Auch in diesem Fall wird deshalb das gesamte Strukturpotential mit einem Untersuchungsraumanteil VR,B,WA < 1 multipliziert.
Sie können die gesamte Berechnung auf die aktiven Bezirke einschränken. So können beispielsweise Kordonbezirke von der Berechnung ausgeschlossen werden.
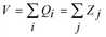
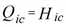
Im Schritt Verkehrserzeugung (Tabelle 48, Tabelle 49 und Tabelle 50) werden aus den genannten Strukturdaten und Kennwerten für alle Nachfrageschichten c die Quellaufkommen Qic und Zielaufkommen Zjc oder obere Schranken Qicmax und Zjcmax für diese Aufkommen berechnet.
Der Berechnungsansatz hängt davon ab, welchen Quelle-Ziel-Typ das Aktivitätenpaar der Nachfrageschicht besitzt. Er gibt an, ob das Aktivitätenpaar die Heimataktivität des Verkehrsteilnehmers als Quelle oder Ziel berührt. Drei Typen sind möglich.
- Typ 1: Quellaktivität = Heimataktivität (eigene Wohnung, eigene Arbeit)
- Typ 2: Zielaktivität = Heimataktivität (eigene Wohnung, eigene Arbeit)
- Typ 3: Quell- und Zielaktivität ≠ Heimataktivität
Die Berechnungsvorschriften können weitgehend aus Tabelle 48, Tabelle 49 und Tabelle 50 entnommen werden. Für die Typen 1 und 2 beginnt die Berechnung mit dem Heimataufkommen (aus Anzahl Personen, Mobilitätsraten, Untersuchungsraumanteil), das unabhängig von der Richtung der Fahrt stets am Heimatbezirk anfällt. Diese Anzahl Ortsveränderungen entspricht bei Typ 1 exakt dem Quellaufkommen, bei Typ 2 exakt dem Zielaufkommen des jeweiligen Bezirks. Bei Typ 1 wird das gesamte Quellaufkommen (summiert über alle Bezirke) auf Zielbezirke verteilt, proportional zu ihren Potentialen (aus Strukturgrößen, Erzeugungsraten und Untersuchungsraumanteil). Typ 2 wird analog behandelt. Das gesamte Zielaufkommen wird proportional zu den Potentialen auf Quellbezirke aufgeteilt. Bei Typ 3 wird das Gesamtaufkommen gleichfalls aus der Summe von Heimataufkommen berechnet, maßgeblich sind jedoch die Größen der Heimatbezirke der Verkehrsteilnehmer, die nicht mit Quelle oder Ziel des Wegs übereinstimmen müssen. Das Gesamtaufkommen wird dann proportional zum Potential einerseits auf Quellbezirke, andererseits auf Zielbezirke aufgeteilt.
Die so berechneten Quell- und/oder Zielaufkommen können verschiedene Bedeutungen aufweisen.
- Harte Randsummenbedingungen
Das Verkehrsaufkommen ergibt sich allein aus der Raumstruktur und muss von den im Modell berechneten Ortsveränderungen exakt ausgeschöpft werden.
Ist zum Beispiel die Anzahl der berufstätigen Einwohner und der Arbeitsplätze pro Bezirk bekannt, gelten für die Nachfrageschicht Wohnen – Arbeiten (WA) harte Randsummenbedingungen, da jeder Erwerbstätige zwingend einen Weg zur Arbeit zurücklegen und jeder Arbeitsplatz Ziel eines Arbeitswegs sein muss.
- Weiche Randsummenbedingungen
Das Verkehrsaufkommen hängt nicht nur von der Raumstruktur, sondern auch von der Lagegunst und den daraus folgenden unterschiedlichen „Konkurrenzbedingungen“ ab. In diesen Fällen haben die Verkehrsaufkommen aus der Verkehrserzeugung den Charakter oberer Schranken. Erst bei der Verkehrsverteilung und Moduswahl entscheidet sich, in welchem Maße die Schranken durch den dabei ermittelten tatsächlichen Quell- und/oder Zielverkehr tatsächlich ausgeschöpft werden.
Zum Beispiel wird das Strukturpotential des Zielbezirks für die Nachfrageschicht Wohnen – Einkauf (WE) üblicherweise aus der Strukturgröße Verkaufsfläche und einer Erzeugungsrate berechnet. Es ist denkbar, dass ein Überangebot an Verkaufsfläche existiert, sodass die Einkaufsmöglichkeiten nicht voll ihrem Potential entsprechend genutzt werden. Das in der Verkehrserzeugung aus dem Potential berechnete Zielaufkommen stellt deshalb nur eine obere Schranke für den realen Zielverkehr dar. Die Randsummenbedingung ist deshalb auf der Zielseite weich, auf Quellseite dagegen hart, weil jeder Verkehrsteilnehmer (irgendwo) einkaufen muss.
- Elastische Randsummenbedingungen
Sie stellen eine Verallgemeinerung weicher Randsummenbedingungen dar. Zusätzlich zu den oberen Schranken sind auch untere Schranken bekannt, bei der Nachfrageschicht Wohnen – Einkauf (WE) beispielsweise aus Verkaufsstatistiken. In diesem Fall legt das Potential der Strukturgröße Verkaufsfläche ein Intervall für das Zielaufkommen des jeweiligen Bezirks fest.
- Offene Randsummenbedingungen
Das Potential der Strukturgrößen drückt lediglich die Attraktivität des Bezirks als Quelle oder Ziel der Nachfrageschicht aus. Das Quell- oder Zielaufkommen ist jedoch an keine Randsummenbedingung gebunden.
Die Attraktivität mancher Ziele im Freizeitverkehr lässt sich zum Beispiel durch ihre Attribute auch dann messen, wenn Kapazitätseffekte keine Rolle spielen. So kann das Strukturpotential eines Naherholungsgebiets zum Beispiel durch seine Waldfläche gegeben sein. Bei der Verkehrsverteilung soll diese Attraktivität als Potential des Zielbezirks wirken, doch sind keine Randbedingungen damit verknüpft, weil es keine Mindestzahl von Erholungssuchenden im Gebiet gibt und andererseits auch keine Besucher auf andere Gebiete ausweichen, weil die „Kapazität“ des Waldes erschöpft ist.
Der Geltungsbereich der Randsummenbedingungen ist durch die Wahl des zugehörigen Aktivitätenpaar-Attributs NSchichten gemeinsam koppeln definiert:
- getrennt rechnen
die Randsummenbedingungen werden quell- und zielseitig je Nachfrageschicht eingehalten
- quellseitig gemeinsam gekoppelt
die Randsummenbedingungen werden quellseitig gemeinsam für alle Nachfrageschichten mit diesem Aktivitätenpaar eingehalten
- zielseitig gemeinsam koppeln
die Randsummenbedingungen werden zielseitig gemeinsam für alle Nachfrageschichten mit diesem Aktivitätenpaar eingehalten
- beidseitig gemeinsam koppeln
die Randsummenbedingungen werden quell- und zielseitig gemeinsam für alle Nachfrageschichten mit diesem Aktivitätenpaar eingehalten
Durch eine Kopplung der Randsummenbedingungen über Nachfrageschichten hinweg werden die Randsummenbedingungen gelockert. Man stelle sich dazu folgendes Beispiel vor: Es gebe zwei Personengruppen, wovon die eine überwiegend den Pkw benutzt, die andere überwiegend ÖV. Dazu gebe es zwei Quellen und zwei Ziele sowie als einziges Aktivitätenpaar „Wohnen - Arbeit“ vom Quelle-Ziel-Typ 1 mit zielseitigen harten Randsummenbedingungen. Eines der beiden Ziele sei gut mit dem Pkw erreichbar, das andere sei gut mit dem ÖV erreichbar.
Verwendet man nun eine Zielkopplung ohne gemeinsame Kopplung, werden beide Ziele von beiden Personengruppen gleichermaßen angefahren, obwohl man erwarten würde, dass sich die Zielwahl an der Erreichbarkeit mit dem bevorzugten Verkehrsmittel orientiert.
Letzteres tritt genau dann ein, wenn man zielseitig gemeinsam koppelt: Personen der ÖV-Gruppe werden bevorzugt das Ziel ansteuern, das mit dem ÖV gut erreichbar ist, während Personen der Pkw-Gruppe bevorzugt das andere Ziel ansteuern werden.
Abbildung 63: Ergebnis bei zielseitiger Kopplung der Randsummenbedingungen.
Der Bezirk „Arbeit A“ mit einer guten ÖV-Anbindung wurde hauptsächlich von ÖV-affinen Personen angefahren, der Bezirk „Arbeit B“ überwiegend von Pkw-affinen Personen. Insgesamt wurden die zielseitigen Randbedingungen (100 Wege je Bezirk) eingehalten.
|
Hinweis: Möchten Sie die Daten validieren, beachten Sie, dass die angegebenen Randsummenbedingungen pro Bezirk bei Verwendung der Kopplung nicht durch das Quell- bzw. Zielaufkommen jeder einzelnen Nachfrageschicht erfüllt werden, sondern nur für die aufsummierten Werte gelten. |
In Tabelle 48, Tabelle 49 und Tabelle 50 sind die Berechnungsformeln dort, wo sie sich in den beiden Fällen unterscheiden, getrennt aufgeführt. Eine eventuelle gemeinsame Kopplung ist bei den Berechnungsformeln nicht berücksichtigt.
|
Schritt 1 |
Heimataufkommen H
|
|
Schritt 2 |
Quellaufkommen Q, Qmax
|
|
Schritt 3 |
Gesamtaufkommen V
|
|
Schritt 4 |
Zielaufkommen Z, Zmax
|
Tabelle 48: EVA-Modell der Verkehrserzeugung: Quelle-Ziel-Typ 1
|
Schritt 1 |
Heimataufkommen H
|
|
Schritt 2 |
Zielaufkommen Z, Zmax
|
|
Schritt 3 |
Gesamtaufkommen V
|
|
Schritt 4 |
Quellaufkommen Q, Qmax
|
Tabelle 49: EVA-Modell der Verkehrserzeugung: Quelle-Ziel-Typ 2
|
Schritt 1 |
Heimataufkommen H
|
|
Schritt 2 |
Gesamtaufkommen V
|
|
Schritt 3 |
Quellaufkommen Q, Qmax
Zielaufkommen Z, Zmax
|
Tabelle 50: EVA-Modell der Verkehrserzeugung: Quelle-Ziel-Typ 3
|
e |
Index eines Bezirkes als Verursacher der Ortsveränderungen (Heimatbezirk) |
|
i |
Index eines Bezirkes als Quelle der Ortsveränderungen |
|
j |
Index eines Bezirkes als Ziel der Ortsveränderungen |
|
s |
Index einer Strukturgröße |
|
p |
Index einer Personengruppe |
|
c |
Index einer Nachfrageschicht |
|
m |
Anzahl der Bezirke des Untersuchungsgebietes |
|
MRepc |
Mobilitätsrate der Personengruppe p pro Zeiteinheit |
|
ERisc |
Erzeugungsrate der Strukturgröße s pro Zeiteinheit |
|
BPep |
Anzahl Personen der Personengruppe p |
|
SG |
Strukturgröße |
|
uepc |
Anteil der im Untersuchungsgebiet als Binnenverkehr realisierten Ortsveränderungen |
|
visc |
für den Binnenverkehr im Untersuchungsgebiet wirksamer Anteil der Strukturgröße |
|
Hepc |
Heimataufkommen (Erwartungswert) der Personengruppe p |
|
Hec |
Heimataufkommen (Erwartungswert) gesamt |
|
Qic |
Quellaufkommen (Erwartungswert) |
|
Zjc |
Zielaufkommen (Erwartungswert) |
|
Qicmax |
maximal mögliches Quellaufkommen |
|
Zjcmax |
maximal mögliches Zielaufkommen |
|
|
Faktor für untere oder obere Schranke des Quellaufkommens |
|
|
Faktor für untere oder obere Schranke des Zielaufkommens |
|
Qicpot |
Potential für den Quellverkehr |
|
Zjcpot |
Potential für den Zielverkehr |
|
Vc |
Gesamtaufkommen (Erwartungswert) |
|
fc |
Faktor, der die Einhaltung der Gesamtsummenbedingung |
|
∆Qic*, ∆Zjc* |
Hilfsgrößen für den Randsummenausgleich (s.u.) |
Tabelle 51: Erklärung verwendeter Variablen und Indices
Bei der Analyse der Personenverkehrsströme zeigt sich, dass bestimmte Aktivitätenketten im Laufe eines Tages dominieren. So ist die Kette W – A – E – W häufiger anzutreffen als die Kette W – E – A – W. Im Zusammenhang damit zeigen sich Asymmetrien in den jeweiligen Nachfrageschicht-Paaren (zum Beispiel WA gegenüber AW), die sich in den Mobilitäts- oder Erzeugungsraten ausdrücken. Als Folge hiervon stimmt bei Summation über alle Nachfrageschichten die Summe der Quellaufkommen eines bestimmten Bezirks i im Allgemeinen nicht mit der Summe der Zielaufkommen überein. Dies sollte bei Betrachtung eines „verkehrlich geschlossenen“ Zeitraumes jedoch der Fall sein. Im EVA-Modell wird deshalb das Quell- oder Zielaufkommen einer ausgewählten Nachfrageschicht ca vom Typ 3 (meist Sonstiges-Sonstiges, SS) so verändert, dass Gesamtquell- und -zielaufkommen über alle Nachfrageschichten gleich sind. Diese Operation heißt Randsummenausgleich (EVA-Verkehrsverteilung und Moduswahl).
Der Randsummenausgleich wird entweder im Anschluss an die Verkehrserzeugung oder an die Verkehrsverteilung und Moduswahl ausgeführt. Er findet nach der Verkehrserzeugung statt, wenn die folgenden Bedingungen erfüllt sind.
- Alle Randsummenbedingungen (ausgenommen derjenigen von Nachfrageschicht ca) sind hart.
- Das Gesamtaufkommen in ca ist größer als die auszugleichende Differenz zwischen Quell- und Zielaufkommen.
- Alle Modi sind austauschbar.
Der Randsummenausgleich nach der Verkehrserzeugung erfolgt in drei Schritten.
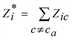
1. Berechnung des Gesamtquell- und -zielaufkommen aller Nachfrageschichten außer ca.
; 
2. Berechnung von Ausgleichs-Aufkommen für alle Bezirke i.
; 
3. Korrektur der Verkehrsaufkommen in ca, wobei
und
die „vorläufigen“ Werte aus den in Tabelle 48, Tabelle 49 und Tabelle 50 enthaltenen Formeln sind.
Gibt es nicht austauschbare Modi, muss der Randsummenausgleich einerseits für jeden nicht austauschbaren Modus getrennt sowie andererseits für die austauschbaren Modi in Summe einmal ausgeführt werden, was erst im Rahmen der Verteilung und Moduswahl möglich ist.
Das nachfolgende Beispiel verdeutlicht die Methode. Zur Vereinfachung beschränken wir uns auf fünf Nachfrageschichten, die alle Quelle-Ziel-Typen abdecken.
|
|
Aktivität |
Personengruppe |
|||
|
Nr |
Code |
QZ-Typ |
Quelle |
Ziel |
Heimatbezirk |
|
1 |
WA |
1 |
Wohnen |
Arbeiten |
Erwerbstätige |
|
2 |
WS |
1 |
Wohnen |
Sonstiges |
Einwohner |
|
3 |
AW |
2 |
Arbeiten |
Wohnen |
Erwerbstätige |
|
4 |
SW |
2 |
Sonstiges |
Wohnen |
Einwohner |
|
5 |
SS |
3 |
Sonstiges |
Sonstiges |
Einwohner |
|
|
maßgebendes Strukturpotential |
|||
|
Nr |
Code |
QZ-Typ |
Quellbezirk |
Zielbezirk |
|
1 |
WA |
1 |
wie Heimat |
Arbeitsplätze |
|
2 |
WS |
1 |
wie Heimat |
Arbeitsplätze im tert. Sektor und Einwohner |
|
3 |
AW |
2 |
Arbeitsplätze |
wie Heimat |
|
4 |
SW |
2 |
Arbeitsplätze im tert. Sektor und Einwohner |
wie Heimat |
|
5 |
SS |
3 |
Arbeitsplätze im tert. Sektor und Einwohner |
Arbeitsplätze im tert. Sektor und Einwohner |
Tabelle 52: Beispieldaten für Nachfrageschichten eines EVA-Modells
Das Modell umfasst 18 Bezirke, von denen 10 Bezirke zum eigentlichen Untersuchungsraum gehören (Typ 1) und 8 Bezirke einen Kordon darum bilden (Typ 2). Die Bezirke vom Typ 1 weisen Untersuchungsraumanteile von 1.0, diejenigen vom Typ 2 Untersuchungsraumanteile von 0.9 auf. Die relevanten Attribute der Bezirke sind wie folgt belegt.
|
Bezirk |
Typ |
Einwohner |
Erwerbstätige |
Arbeitsplätze |
Arbeitsplätze tertiär |
|
1 |
1 |
7 000 |
3 000 |
2 000 |
1 100 |
|
2 |
1 |
10 500 |
5 500 |
7 000 |
4 500 |
|
3 |
1 |
7 000 |
3 000 |
2 000 |
1 300 |
|
4 |
1 |
5 000 |
2 000 |
1 700 |
1 000 |
|
5 |
1 |
3 000 |
1 200 |
2 500 |
1 600 |
|
6 |
1 |
2 000 |
900 |
1 600 |
1 000 |
|
7 |
1 |
500 |
200 |
2 000 |
1 200 |
|
8 |
1 |
5 000 |
2 000 |
1 000 |
600 |
|
9 |
1 |
7 000 |
3 100 |
2 500 |
1 400 |
|
10 |
1 |
5 000 |
2 000 |
1 500 |
1 000 |
|
11 |
2 |
3 500 |
1 200 |
1 000 |
600 |
|
12 |
2 |
3 000 |
1 100 |
1 000 |
600 |
|
13 |
2 |
2 500 |
1 000 |
1 000 |
600 |
|
14 |
2 |
1 500 |
700 |
500 |
100 |
|
15 |
2 |
1 500 |
600 |
500 |
100 |
|
16 |
2 |
2 000 |
900 |
1 000 |
600 |
|
17 |
2 |
2 000 |
800 |
500 |
300 |
|
18 |
2 |
2 000 |
800 |
500 |
300 |
Tabelle 53: Beispieldaten für Bezirksattribute im EVA-Nachfragemodell (Wert der Strukturgrößen)
Abhängig von der Nachfrageschicht und dem Bezirkstyp gelten folgende Mobilitätsraten (Wege pro Person in der maßgeblichen Personengruppe).
|
Bezirkstyp |
WA |
WS |
AW |
SW |
SS |
|
1 |
0,7800 |
0,9000 |
0,6200 |
0,9000 |
0,6000 |
|
2 |
0,8100 |
0,9000 |
0,6400 |
0,9000 |
0,6000 |
Tabelle 54: Beispieldaten für Mobilitätsraten im EVA-Nachfragemodell
Die Erzeugungsraten der Strukturgrößen hängen gleichfalls von Nachfrageschicht und Bezirkstyp ab.
|
Nachfrageschicht |
Strukturgröße |
Bezirkstyp 1 |
Bezirkstyp 2 |
|
WA |
|
1,00 |
1,00 |
|
WS |
Einwohner |
0,50 |
0,50 |
|
Arbeitspl. tertiär |
0,50 |
0,50 |
|
|
AW |
|
1,00 |
1,00 |
|
SW |
Einwohner |
0,50 |
0,50 |
|
Arbeitspl. tertiär |
0,50 |
0,50 |
|
|
SS |
Einwohner |
0,50 |
0,50 |
|
Arbeitspl. tertiär |
0,50 |
0,50 |
Tabelle 55: Beispieldaten für Erzeugungsraten im EVA-Nachfragemodell
Alle Nachfrageschichten besitzen harte Randsummenbedingungen. Damit ergibt sich das in den folgenden Tabellen dargestellte Quell- und Zielaufkommen der Nachfrageschichten aus den Formeln in Tabelle 48, Tabelle 49 und Tabelle 50. Zur Verdeutlichung ist über jeder Spalte der Schritt in der Berechnungsfolge angegeben.
- H = Heimataufkommen
- Q = Quellaufkommen
- Z = Zielaufkommen
- QP = Strukturpotential Quelle
- ZP = Strukturpotential Ziel
|
Nachfrageschicht |
WA |
||||
|
|
Heimat |
Quelle |
|
Ziel |
|
|
Personengruppe oder Strukturgröße |
Erwerbstätige |
wie Heimat |
Arbeitsplätze |
|
|
|
Berechnungsreihenfolge |
1 |
2 |
3 |
4 |
|
|
Bezirk |
Bez. Typ |
H |
Q |
ZP |
Z |
|
1 |
1 |
2 340 |
2 340 |
2 000 |
1 578 |
|
2 |
1 |
4 290 |
4 290 |
7 000 |
5 523 |
|
3 |
1 |
2 340 |
2 340 |
2 000 |
1 578 |
|
4 |
1 |
1 560 |
1 560 |
1 700 |
1 341 |
|
5 |
1 |
936 |
936 |
2 500 |
1 972 |
|
6 |
1 |
702 |
702 |
1 600 |
1 262 |
|
7 |
1 |
156 |
156 |
2 000 |
1 578 |
|
8 |
1 |
1 560 |
1 560 |
1 000 |
789 |
|
9 |
1 |
2 418 |
2 418 |
2 500 |
1 972 |
|
10 |
1 |
1 560 |
1 560 |
1 500 |
1 183 |
|
11 |
2 |
875 |
875 |
900 |
710 |
|
12 |
2 |
802 |
802 |
900 |
710 |
|
13 |
2 |
729 |
729 |
900 |
710 |
|
14 |
2 |
510 |
510 |
450 |
355 |
|
15 |
2 |
437 |
437 |
450 |
355 |
|
16 |
2 |
656 |
656 |
900 |
710 |
|
17 |
2 |
583 |
583 |
450 |
355 |
|
18 |
2 |
583 |
583 |
450 |
355 |
|
Summe |
|
23 038 |
23 038 |
29 200 |
23 038 |
Tabelle 56: Beispielberechnung der Quell- und Zielaufkommen für Nachfrageschicht WA
|
Nachfrageschicht |
WS |
||||||
|
|
Heimat |
Quelle |
|
|
|
Ziel |
|
|
Personengruppe oder Strukturgröße |
Einw. |
wie Heimat |
Arbeitsplätze im tertiären Sektor und Einwohner |
||||
|
Berechnungsreihenfolge |
1 |
2 |
3.1 |
3.2 |
4 |
5 |
|
|
Bezirk |
Bez. Typ |
H |
Q |
ZP Einw. |
ZP Bes-T |
ZP Sum |
Z |
|
1 |
1 |
6 300 |
6 300 |
3 500 |
550 |
4 050 |
5 796 |
|
2 |
1 |
9 450 |
9 450 |
5 250 |
2 250 |
7 500 |
10 733 |
|
3 |
1 |
6 300 |
6 300 |
3 500 |
650 |
4 150 |
5 939 |
|
4 |
1 |
4 500 |
4 500 |
2 500 |
500 |
3 000 |
4 293 |
|
5 |
1 |
2 700 |
2 700 |
1 500 |
800 |
2 300 |
3 292 |
|
6 |
1 |
1 800 |
1 800 |
1 000 |
500 |
1 500 |
2 147 |
|
7 |
1 |
450 |
450 |
250 |
600 |
850 |
1 216 |
|
8 |
1 |
4 500 |
4 500 |
2 500 |
300 |
2 800 |
4 007 |
|
9 |
1 |
6 300 |
6 300 |
3 500 |
700 |
4 200 |
6 011 |
|
10 |
1 |
4 500 |
4 500 |
2 500 |
500 |
3 000 |
4 293 |
|
11 |
2 |
2 835 |
2 835 |
1 575 |
270 |
1 845 |
2 640 |
|
12 |
2 |
2 430 |
2 430 |
1 350 |
270 |
1 620 |
2 318 |
|
13 |
2 |
2 025 |
2 025 |
1 125 |
270 |
1 395 |
1 996 |
|
14 |
2 |
1 215 |
1 251 |
675 |
45 |
720 |
1 030 |
|
15 |
2 |
1 215 |
1 251 |
675 |
45 |
720 |
1 030 |
|
16 |
2 |
1 620 |
1 620 |
900 |
270 |
1 170 |
1 674 |
|
17 |
2 |
1 620 |
1 620 |
900 |
135 |
1 035 |
1 481 |
|
18 |
2 |
1 620 |
1 620 |
900 |
135 |
1 035 |
1 481 |
|
Summe |
|
61 380 |
61 380 |
34 100 |
8 790 |
42 890 |
61 380 |
Tabelle 57: Beispielberechnung der Quell- und Zielaufkommen für Nachfrageschicht WS
|
Nachfrageschicht |
AW |
||||
|
|
Heimat |
Ziel |
|
Quelle |
|
|
Personengruppe oder Strukturgröße |
|
wie Heimat |
Arbeitsplätze |
||
|
Berechnungsreihenfolge |
1 |
2 |
3 |
4 |
|
|
Bezirk |
Bez. Typ |
H |
Z |
QP |
Q |
|
1 |
1 |
1 860 |
1 860 |
2 000 |
1 253 |
|
2 |
1 |
3 410 |
3 410 |
7 000 |
4 384 |
|
3 |
1 |
1 860 |
1 860 |
2 000 |
1 253 |
|
4 |
1 |
1 240 |
1 240 |
1 700 |
1 065 |
|
5 |
1 |
744 |
744 |
2 500 |
1 566 |
|
6 |
1 |
558 |
558 |
1 600 |
1 002 |
|
7 |
1 |
124 |
124 |
2 000 |
1 253 |
|
8 |
1 |
1 240 |
1 240 |
1 000 |
626 |
|
9 |
1 |
1 922 |
1 922 |
2 500 |
1 566 |
|
10 |
1 |
1 240 |
1 240 |
1 500 |
939 |
|
11 |
2 |
691 |
691 |
900 |
564 |
|
12 |
2 |
634 |
634 |
900 |
564 |
|
13 |
2 |
576 |
576 |
900 |
564 |
|
14 |
2 |
403 |
403 |
450 |
282 |
|
15 |
2 |
346 |
346 |
450 |
282 |
|
16 |
2 |
518 |
518 |
900 |
564 |
|
17 |
2 |
461 |
461 |
450 |
282 |
|
18 |
2 |
461 |
461 |
450 |
282 |
|
Summe |
|
18 288 |
18 288 |
29 200 |
18 288 |
Tabelle 58: Beispielberechnung der Quell- und Zielaufkommen für Nachfrageschicht AW
|
Nachfrageschicht |
SW |
||||||
|
|
Heimat |
Ziel |
|
|
|
Quelle |
|
|
Personengruppe oder Strukturgröße |
Einw. |
wie Heimat |
Arbeitsplätze im tertiären Sektor und Einwohner |
||||
|
Berechnungsreihenfolge |
1 |
2 |
3.1 |
3.2 |
4 |
5 |
|
|
Bezirk |
Bez. Typ |
H |
Z |
QP Einw. |
QP Bes-T |
QP Sum |
Q |
|
1 |
1 |
6 300 |
6 300 |
3 500 |
550 |
4 050 |
5 796 |
|
2 |
1 |
9 450 |
9 450 |
5 250 |
2 250 |
7 500 |
10 733 |
|
3 |
1 |
6 300 |
6 300 |
3 500 |
650 |
4 150 |
5 939 |
|
4 |
1 |
4 500 |
4 500 |
2 500 |
500 |
3 000 |
4 293 |
|
5 |
1 |
2 700 |
2 700 |
1 500 |
800 |
2 300 |
3 292 |
|
6 |
1 |
1 800 |
1 800 |
1 000 |
500 |
1 500 |
2 147 |
|
7 |
1 |
450 |
450 |
250 |
600 |
850 |
1 216 |
|
8 |
1 |
4 500 |
4 500 |
2 500 |
300 |
2 800 |
4 007 |
|
9 |
1 |
6 300 |
6 300 |
3 500 |
700 |
4 200 |
6 011 |
|
10 |
1 |
4 500 |
4 500 |
2 500 |
500 |
3 000 |
4 293 |
|
11 |
2 |
2 835 |
2 835 |
1 575 |
270 |
1 845 |
2 640 |
|
12 |
2 |
2 430 |
2 430 |
1 350 |
270 |
1 620 |
2 318 |
|
13 |
2 |
2 025 |
2 025 |
1 125 |
270 |
1 395 |
1 996 |
|
14 |
2 |
1 215 |
1 215 |
675 |
45 |
720 |
1 030 |
|
15 |
2 |
1 215 |
1 215 |
675 |
45 |
720 |
1 030 |
|
16 |
2 |
1 620 |
1 620 |
900 |
270 |
1 170 |
1 674 |
|
17 |
2 |
1 620 |
1 620 |
900 |
135 |
1 035 |
1 481 |
|
18 |
2 |
1 620 |
1 620 |
900 |
135 |
1 035 |
1 481 |
|
Summe |
|
61 380 |
61 380 |
34 100 |
8 790 |
42 890 |
61 380 |
Tabelle 59: Beispielberechnung der Quell- und Zielaufkommen für Nachfrageschicht SW
|
Nachfrageschicht |
SS |
|||||
|
|
Heimat |
Quelle |
|
|
|
|
|
Personengruppe oder Strukturgröße |
|
Arbeitsplätze im tertiären Sektor und Einwohner |
||||
|
Berechnungsreihenfolge |
|
2.1 |
2.2 |
2.3 |
2 |
|
|
Bezirk |
Bez. Typ |
H |
QP Einw. |
QP Bes-T |
QP Sum |
Q |
|
1 |
1 |
4 200 |
3 500 |
550 |
4 050 |
3 864 |
|
2 |
1 |
6 300 |
5 250 |
2 250 |
7 500 |
7 156 |
|
3 |
1 |
4 200 |
3 500 |
650 |
4 150 |
3 959 |
|
4 |
1 |
3 000 |
2 500 |
500 |
3 000 |
2 862 |
|
5 |
1 |
1 800 |
1 500 |
800 |
2 300 |
2 194 |
|
6 |
1 |
1 200 |
1 000 |
500 |
1 500 |
1 431 |
|
7 |
1 |
300 |
250 |
600 |
850 |
811 |
|
8 |
1 |
3 000 |
2 500 |
300 |
2 800 |
2 671 |
|
9 |
1 |
4 200 |
3 500 |
700 |
4 200 |
4 007 |
|
10 |
1 |
3 000 |
2 500 |
500 |
3 000 |
2 862 |
|
11 |
2 |
1 890 |
1 575 |
270 |
1 845 |
1 760 |
|
12 |
2 |
1 620 |
1 350 |
270 |
1 620 |
1 546 |
|
13 |
2 |
1 350 |
1 125 |
270 |
1 395 |
1 331 |
|
14 |
2 |
810 |
675 |
45 |
720 |
687 |
|
15 |
2 |
810 |
675 |
45 |
720 |
687 |
|
16 |
2 |
1 080 |
900 |
270 |
1 170 |
1 116 |
|
17 |
2 |
1 080 |
900 |
135 |
1 035 |
987 |
|
18 |
2 |
1 080 |
900 |
135 |
1 035 |
987 |
|
Summe |
|
40 920 |
34 100 |
8 790 |
42 890 |
40 920 |
Tabelle 60: Beispielberechnung der Quell- und Zielaufkommen für Nachfrageschicht SS (1)
|
Nachfrageschicht |
SS |
||||
|
|
Ziel |
|
|
|
|
|
Personengruppe oder Strukturgröße |
Arbeitsplätze im tertiären Sektor und Einwohner |
||||
|
Berechnungsreihenfolge |
3.1 |
3.2 |
3.3 |
3 |
|
|
Bezirk |
Bez. Typ |
ZP Einw. |
ZP Bes-T |
ZP Sum |
Z |
|
1 |
1 |
3 500 |
550 |
4 050 |
3 864 |
|
2 |
1 |
5 250 |
2 250 |
7 500 |
7 156 |
|
3 |
1 |
3 500 |
650 |
4 150 |
3 959 |
|
4 |
1 |
2 500 |
500 |
3 000 |
2 862 |
|
5 |
1 |
1 500 |
800 |
2 300 |
2 194 |
|
6 |
1 |
1 000 |
500 |
1 500 |
1 431 |
|
7 |
1 |
250 |
600 |
850 |
811 |
|
8 |
1 |
2 500 |
300 |
2 800 |
2 671 |
|
9 |
1 |
3 500 |
700 |
4 200 |
4 007 |
|
10 |
1 |
2 500 |
500 |
3 000 |
2 862 |
|
11 |
2 |
1 575 |
270 |
1 845 |
1 760 |
|
12 |
2 |
1 350 |
270 |
1 620 |
1 546 |
|
13 |
2 |
1 125 |
270 |
1 395 |
1 331 |
|
14 |
2 |
675 |
45 |
720 |
687 |
|
15 |
2 |
675 |
45 |
720 |
687 |
|
16 |
2 |
900 |
270 |
1 170 |
1 116 |
|
17 |
2 |
900 |
135 |
1 035 |
987 |
|
18 |
2 |
900 |
135 |
1 035 |
987 |
|
Summe |
|
34 100 |
8 790 |
42 890 |
40 920 |
Tabelle 61: Beispielberechnung der Quell- und Zielaufkommen für Nachfrageschicht SS (2)
Da sämtliche Nachfrageschichten harte Randsummenbedingungen aufweisen, kann der Randsummenausgleich unmittelbar im Anschluss an die Verkehrserzeugung ausgeführt werden. Dazu wird zunächst der Gesamtquell- und -zielverkehr jedes Bezirks aus den Nachfrageschichten WA, WS, AW, SW berechnet und die sich ergebenden Differenzen durch Veränderung der Verkehrsaufkommen in der Nachfrageschicht SS aufgefangen.
|
Hinweis: Beachten Sie, dass sich dabei der Gesamtquell- und -zielverkehr dieser Nachfrageschicht nicht ändert. |
|
|
Summe WA+WS+AW+SW |
Differenzen |
||
|
Bezirk |
Q |
Z |
Q |
Z |
|
1 |
15 689 |
15 534 |
155 |
0 |
|
2 |
28 857 |
29 116 |
0 |
259 |
|
3 |
15 832 |
15 677 |
155 |
0 |
|
4 |
11 418 |
11 375 |
43 |
0 |
|
5 |
8 493 |
8 708 |
0 |
215 |
|
6 |
5 651 |
5 767 |
0 |
116 |
|
7 |
3 075 |
3 368 |
0 |
293 |
|
8 |
10 693 |
10 536 |
157 |
0 |
|
9 |
16 294 |
16 205 |
89 |
0 |
|
10 |
11 293 |
11 217 |
76 |
0 |
|
11 |
6 914 |
6 877 |
37 |
0 |
|
12 |
6 114 |
6 092 |
22 |
0 |
|
13 |
5 314 |
5 307 |
7 |
0 |
|
14 |
3 038 |
3 004 |
34 |
0 |
|
15 |
2 965 |
2 946 |
19 |
0 |
|
16 |
4 514 |
4 523 |
0 |
9 |
|
17 |
3 966 |
3 917 |
49 |
0 |
|
18 |
3 966 |
3 917 |
49 |
0 |
|
Summe |
164 086 |
164 086 |
892 |
892 |
Tabelle 62: Beispielberechnung für den Randsummenausgleich (1)
|
|
SS vor Randsummenausgleich |
SS nach Randsummenausgleich |
||
|
Bezirk |
Q |
Z |
Q |
Z |
|
1 |
3 864 |
3 864 |
3 780 |
3 934 |
|
2 |
7 156 |
7 156 |
7 258 |
7 000 |
|
3 |
3 959 |
3 959 |
3 873 |
4 028 |
|
4 |
2 862 |
2 862 |
2 800 |
2 843 |
|
5 |
2 194 |
2 194 |
2 361 |
2 147 |
|
6 |
1 431 |
1 431 |
1 516 |
1 400 |
|
7 |
811 |
811 |
1 087 |
793 |
|
8 |
2 671 |
2 671 |
2 613 |
2 770 |
|
9 |
4 007 |
4 007 |
3 920 |
4 009 |
|
10 |
2 862 |
2 862 |
2 800 |
2 876 |
|
11 |
1 760 |
1 760 |
1 722 |
1 759 |
|
12 |
1 546 |
1 546 |
1 512 |
1 534 |
|
13 |
1 331 |
1 331 |
1 302 |
1 309 |
|
14 |
687 |
687 |
672 |
706 |
|
15 |
687 |
687 |
672 |
691 |
|
16 |
1 116 |
1 116 |
1 101 |
1 092 |
|
17 |
987 |
987 |
966 |
1 015 |
|
18 |
987 |
987 |
966 |
1 015 |
|
Summe |
40 920 |
40 920 |
40 920 |
40 920 |
Tabelle 63: Beispielberechnung für den Randsummenausgleich (2)
Die Ergebnisse der Operation EVA-Verkehrserzeugung werden in Bezirksattributen abgelegt.
|
Attribut |
Subattribut |
Bedeutung und Wertebereich |
|
Heimataufkommen |
Nachfrageschicht |
Heimataufkommen für die Nachfrageschicht Wertebereich: Gleitkommazahl |
|
QuellaufkommenSoll |
Nachfrageschicht |
Quellaufkommen für die Nachfrageschicht, vor Berücksichtigung von Randsummenbedingungen Wertebereich: Gleitkommazahl |
|
ZielaufkommenSoll |
Nachfrageschicht |
Analog für Zielaufkommen Wertebereich: Gleitkommazahl |
|
Quellaufkommen |
Nachfrageschicht |
Quellaufkommen für die Nachfrageschicht, nach Berücksichtigung von Randsummenbedingungen und Randsummenausgleich Hinweis Dieses Attribut ist nur dann bereits nach der Operation EVA-Erzeugung verfügbar, falls alle Nachfrageschichten harte Randsummenbedingungen aufweisen, sonst erst nach der Operation EVA-Verteilung/Moduswahl. Wertebereich: Gleitkommazahl |
|
Zielaufkommen |
Nachfrageschicht |
Analog für das Zielaufkommen Wertebereich: Gleitkommazahl |
Tabelle 64: Bezirksattribute mit Ergebnissen der Verkehrserzeugung des EVA-Nachfragemodells

bei der Berechnung der Verkehrsaufkommen der Bezirke berücksichtigt
