Umlegungsanalyse ÖV

Die Umlegungsanalyse dient der Berechnung der Korrelation (Goodness-of-Fit Report) zwischen berechneten und beobachteten Werten von Attributen eines ausgewählten Netzobjekttyps.

  • Der berechnete Wert stammt aus der Umlegung oder dem Netzmodell.
  • Der beobachtete Wert kann ein Zähl- oder Messwert sein.

Hier sind einige Anwendungsbeispiele.

  • Reisezeitvergleiche zwischen IV und ÖV
  • Reisezeitvergleiche verschiedener Szenarien
  • Berechnete und gezählte Belastungen (Strecken, Abbieger oder Oberabbieger)
  • Berechnete und gemessene Geschwindigkeiten

Zur Auswahl stehen alle numerischen Eingabe- und Ausgabe-Attribute der folgenden Netzobjekttypen.

  • Strecken
  • Knoten
  • Abbieger
  • Oberknoten
  • Oberabbieger
  • Linien
  • Linienrouten
  • Screenlines
  • Fahrzeitprofile
  • Wege

Voraussetzung ist, dass die beobachteten Werte >0 sein müssen für den gewählten Netzobjekttyp.

Sie können wählen, welche Objekte Sie in die Umlegungsanalyse einbeziehen wollen. Es bestehen drei Möglichkeiten.

  • Alle Objekte des gewählten Netzobjekttyps
  • Nur aktive Objekte
  • Nur Objekte mit beobachtetem Wert > 0.

Optional können Sie bei der Umlegungsanalyse benutzerdefinierte Toleranzen für benutzerdefinierte Werteklassen des berechneten Attributs berücksichtigen.

Die Güte der Korrelation kann auf zwei Arten ermittelt und ausgegeben werden.

  • Gruppiert (je Wert des Klassifizierungsattributs)
  • Insgesamt für alle einbezogenen Netzobjekte

Für die Ausgabe wurde das Datenmodell für die oben genannten Netzobjekttypen erweitert um das berechnete Attribut Umlegungsabweichung (UmlgAbw / ASSIGNDEVIATION) vom Typ Real, das wie alle anderen Visum-Attribute für das jeweilige Netzobjekt grafisch und tabellarisch dargestellt werden kann.

Darüber hinaus werden diverse Kenngrößen (je Gruppe oder insgesamt) berechnet, die als Liste oder als Diagramm ausgegeben werden können.

Hinweis: Ein Umlegungsergebnis ist nicht mehr zwingend erforderlich für die Ermittlung des Korrelationskoeffizienten.

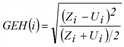
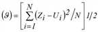
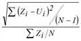
Tabelle 200 zeigt die Berechnungsvorschriften für die Ausgabeattribute der Umlegungsanalyse. In den Formeln gilt Folgendes:

Z

Beobachtung (Zählung oder Messung)

U

Berechnung (Umlegung oder Netzmodell)

N

Anzahl Objekte mit beobachtetem Wert > 0

AbsRMSE

Abs RMSE

Absolute Wurzel aus mittlerer quadrierter Abweichung

Stärkere Gewichtung signifikanter Differenzen zwischen beobachtetem und berechnetem Wert durch Quadrat nach

Achsabs

Achsenabschnitt

Koeffizient b bei linearer Regression

Siehe Excel, Lineare Regression (y = ax + b)

AnteilAkzGEH

Anteil mit akzept GEH

Anteil Objekte mit akzeptablem GEH-Wert (je Netzobjekt)

AnteilAkzRelFehler

Anteil mit akzept rel Fehler

Anteil Objekte innerhalb der Toleranz

AnzBeob

Anzahl Beobachtungen

Anzahl Beobachtungen je Klasse (Objekte mit beobachteter Wert > 0)

AnzKlasse

Anzahl in Klasse

Gesamtanzahl (= beobachtete + nicht-beobachtete) Objekte je Klasse

KlassenWert

Wert des Klassifizierungsattributs (oder leer, falls nicht klassifiziert)

Korr

Korrelationskoeffizient (Siehe Excel-Funktion Pearson)

Hinweise

Der Wertebereich liegt zwischen -1 und 1, wobei folgendes gilt.

  • - 1 = Beobachtung gegenläufig zur Berechnung
  • 0 = nicht korreliert (zufällig)
  • +1 = sehr gute Korrelation

Das Verhältnis beobachteter/berechneter Wert sollte möglichst nahe 1 sein.

Bei nur zwei Werten > 0 ist der Korrelationskoeffizient -1 oder 1.

Der Wert des Korrelationskoeffizienten erlaubt keine Rückschlüsse darauf, ob entweder alle beobachteten Werte größer (oder kleiner) sind als die berechneten Werte oder ob sowohl Abweichungen nach oben als auch Abweichungen nach unten vorliegen.

MittAbsFehler

Mittlerer absoluter Fehler

Mittlere Abweichung der Absolutwerte(δa)

(Differenz zwischen beobachtetem und berechnetem Wert)

MittBeob

Mittlerer beobachteter Wert

MittRelFehler

Mittlerer relativer Fehler

Mittlere Abweichung der Absolutwerte in % (δp) nach

R2

Bestimmtheitsmaß r2

Siehe Excel-Funktion RSQ

RelRMSE

Relative Wurzel aus mittlerer quadrierter Abweichung

StdAbw

Grad der Abweichung

Steigung

Koeffizient a bei linearer Regression

Siehe Excel, Lineare Regression (y = ax + b)

Tabelle 200: Berechnungsvorschriften für die Attribute der Umlegungsanalyse