Beispiel für die taktfeine Umlegung

Taktermittlung

Für das in Abbildung 161 dargestellte ÖV-Angebot ermittelt das taktfeine Verfahren für den Untersuchungszeitraum von 5:30 Uhr bis 7:30 Uhr (120 Minuten) die in Tabelle 185 dargestellten Takte – wenn diese nach der Methode aus mittlerer Fahrzeugfolgezeit (Taktermittlung) berechnet werden.

Tabelle 185: Taktermittlung für das Beispiel

Linie

Fahrzeugfolgezeit

Takt

Bus 1

120 / 3 * = 40 min

40 min

Zug

120 / 2 ** = 60 min

60 min

* 3 Abfahrten im Untersuchungszeitraum (6.10, 6.55, 7.25) in A-Dorf

** 2 Abfahrten im Untersuchungszeitraum (6.25, 7.05) am Bhf

Routensuche

Wir betrachten den Fall, dass Fahrgastinformation zu Abfahrtszeiten vorliegt und diese auch an Bord der Buslinie verfügbar ist. Das Verfahren wird dann bei der Routensuche von A-Dorf nach X-Stadt zwei Routen ermitteln, wenn beide Alternativen mit positiver Wahrscheinlichkeit besser sind als die jeweils andere.

  • Route 1 (Bus 1, ohne Umsteigen) und
  • Route 2 (Bus 1 und Zug, einmal umsteigen)

Die Wahrscheinlichkeit kommt dadurch ins Spiel, dass die Wartezeit auf den Zug bei einem Umstieg im Bereich zwischen 0 und 60 Minuten liegt und hierfür nicht schon von vornherein eine feste Zeitdauer angenommen wird.

Wird kein extrem hoher Umsteigezuschlag vergeben, nutzt ein Teil der Fahrgäste in jedem Fall die Umstiegsmöglichkeit. Dies liegt daran, dass der Zug mit einer gewissen Wahrscheinlichkeit sehr zeitnah zur Ankunft des Busses weiterfährt und die Fahrgäste damit schneller am Ziel sind.

Weil die Wahrscheinlichkeit für einen ungünstigen Anschluss hier aber wesentlich höher ist, wird der größere Teil der Fahrgäste mit dem Bus weiterfahren.

Entscheidend ist also nicht nur die mittlere Wartezeit auf den Zug – diese beträgt im Beispiel 30 Minuten – sondern der gesamte Bereich möglicher Wartezeiten. Aufgrund der vorliegenden Fahrgastinformation erhält jede der beiden Routen genau denjenigen Anteil an der Nachfrage, der der Chance entspricht, dass sie die bessere der beiden Optionen darstellt.

Routenwahl

Um im Beispiel eine Aufteilung zu bestimmen, müssen konkrete Widerstandsparameter herangezogen werden. Diese seien nun wie folgt gesetzt:

  • WID = ERZ • 1,0 + Anzahl Tarifpunkte • 0,0
  • Empfundene Reisezeit ERZ = Fahrzeit im Fzg • 1,0

+ Zu-, Abgangszeit • 1,0

+ Gehzeit • 1,0

+ Startwartezeit • 1,0

+ Umsteigewartezeit • 1,0

+ Umsteigehäufigkeit • 2 min

Damit errechnen sich aus der Sicht des mit Bus 1 am Bahnhof ankommenden Fahrgastes die in Tabelle 186 dargestellten Widerstände für die noch vor ihm liegenden Teile der Routen.

 

Tabelle 186: Widerstandsberechnung für die Routen im Beispiel

 

Route 1

Route 2

Abgangszeit, Gehzeit

0 min

0 min

Fahrzeit

33 min

16 min

Umsteigewartezeit

0 min

zufällig in [0 min, 60 min)

Umsteigezuschlag

0 • 2 min = 0 min

1 • 2 min = 2 min

WID = ERZ • 1.0

33 min

zufällig in [18min, 78 min)

Aus den Widerständen Wid1 und Wid2 der beiden Routen ergeben sich ihre Anteile P1 und P2 an der Verkehrsnachfrage (hier 90 Fahrten) und somit die absolute Fahrtenzahl auf beiden Routen (M1 und M2). Dies geschieht wie folgt.

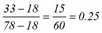
Welche Route attraktiver ist, hängt nur davon ab, ob die zufällige Größe Wid2 größer oder kleiner ist als die konstante Größe Wid1. Weil Wid2 gleichverteilt im Intervall [18, 78[ und Wid1 gleich 33 ist, lautet die gesuchte Wahrscheinlichkeit dafür, dass Route 2 gewählt wird, also 0,25 nach folgender Formel.

Somit entscheiden sich 90 • 0,25 = 22,5 Fahrgäste für den Umstieg in den Zug und 90 • 0,75 = 67,5 Fahrgäste für die Weiterfahrt im Bus.

Es ergibt sich das in Abbildung 161 dargestellte Belastungsbild.

Abbildung 161: Netzbelastung bei taktfeiner Umlegung, Umsteigezuschlag 2 min

Bei Variation des Umsteigezuschlags ändert sich dieser Anteil wie in Tabelle 187 aufgeführt. Für andere Widerstandsparameter gilt Entsprechendes.

 

Tabelle 187: Änderung der Anteile bei Variation des Umsteigezuschlags

Umsteigezuschlag

Anteil Route 1

Anteil Route 2

0 min

0,717

0,283

1 min

0,733

0,267

2 min

0,750

0,250

5 min

0,800

0,200

10 min

0,883

0,117

Die Kenngrößen für die Beziehung von A_DORF nach X_STADT zeigt Tabelle 188. Dabei handelt es sich um die mittleren Kenngrößen der beiden Routen, die – gewichtet mit der Fahrgastmenge – für die hier verwendeten Widerstandsparameter zusammengefasst sind.

 

Tabelle 188: Mittlere Kenngrößen bei der taktfeinen Umlegung

Route

Menge

Fahrgäste • Fahrzeit

Fahrgäste • UWZ

Fahrgäste • Beförd.-zeit

Fahrgäste • UH

1

67,5

67,5 • 45 min

67,5 • 0 min

67,5 • 45 min

67,5 • 0

2

22,5

22,5 • 28 min

22,5 • 7,5 min

22,5 • 35,5 min

22,5 • 1

Summe

90

3 667,5 min

168,75 min

3 836,25 min

22,5

Mittel

 

3 667,5 / 90 = 40,75 min

168,75 / 90 = 1,875 min

3 836,25 / 90 = 42,625 min

22,5 / 90 = 0,25

Besonders zu beachten ist die auf Route 2 anfallende Umsteigewartezeit von 7,5 Minuten. Hier steht nicht etwa 60 / 2 = 30 Minuten, auch wenn der Takt des Zuges 60 Minuten ist. Dies liegt daran, dass Fahrgäste nur dann auf den Zug wechseln, wenn die Umsteigewartezeit gering genug ist – genauer gesagt, wenn diese Zeit (wie oben gesehen) im Bereich von null und 15 Minuten liegt. In allen anderen Fällen lohnt sich ein Umstieg nicht. Die 7,5 Minuten Umsteigewartezeit bei Wahl von Route 2 stellen also einen bedingten Erwartungswert dar – es handelt sich um die mittlere Wartezeit derjenigen Fahrgäste, für die Route 2 tatsächlich die bessere Alternative ist.