Aufteilung der Fahrten auf die Verbindungen
Der bei der Verbindungswahl verwendete Widerstand einer Verbindung i in einem Zeitintervall a berechnet sich folgendermaßen.
Jede der in den Widerstand eingehenden Kenngrößen kann optional einzeln Box-Cox-transformiert werden. Das hat keinen Einfluss auf das eigentliche Wahlmodell, das heißt, auch bei Verwendung der Box-Cox-Transformationen kann auf den Gesamtwiderstand weiter eine beliebige Nutzenfunktion angewandt werden.
Die Widerstandsberechnung bleibt also von der eigentlichen Verbindungswahl entkoppelt, das heißt, auch bei Anwendung der Box-Cox-Transformation muss nicht zwingend Logit eingesetzt werden, sondern es kann eine beliebige Nutzenfunktion gewählt werden.
Die Berechnung des Widerstands erfolgt wie folgt:
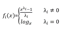
Für i = 1, ..., n seien xi die verschiedenen Wegeattribute, wobei ohne Einschränkung die ersten m von ihnen Box-Cox-transformiert werden sollen (und zwar jeweils zum Parameter λi). βi stehe für die zugehörigen Koeffizienten. Dann gilt
wobei
Durch Einsetzen dieses Widerstands in eines der Aufteilungsmodelle Kirchhoff, Logit, Box-Cox oder Lohse (Aufteilungsmodelle in der Umlegung) bestimmt Visum hieraus den Nutzen einer Verbindung in einem Zeitintervall und so schließlich ihren Anteil an der Nachfrage dieses Intervalls. Wahlweise kann auch die Eigenständigkeit in die Aufteilungsregel mit eingehen (Eigenständigkeit von Verbindungen).
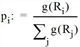
Der Anteil einer Verbindung i an der Gesamtnachfrage errechnet sich wie bisher folgendermaßen:
Dabei ist g die gewählte (stets antitone) Nutzenfunktion, im Fall von Logit ist also g(x) = e-bx.
|
Hinweise: Wie an der Definition erkennbar wird, muss bei Benutzung der Box-Cox-Transformation für xi generell xi ≥ 0 gelten, im Fall λi = 0 sogar xi > 0. Wird diese Regel zur Laufzeit verletzt, wird die Umlegung mit einer Fehlermeldung abgebrochen. Durch Box-Cox-Transformation oder durch negative Koeffizienten kann Ri selbst negativ sein. In diesem Fall ist nur die Logit-Nutzenfunktion anwendbar, sonst wird die Umlegung mit einer Fehlermeldung abgebrochen. |

