Umlegungsanalyse IV
Die Umlegungsanalyse dient der Berechnung der Korrelation (Goodness-of-Fit Report) zwischen berechneten und beobachteten Werten von Attributen eines ausgewählten Netzobjekttyps.
- Der berechnete Wert stammt aus der Umlegung oder dem Netzmodell.
- Der beobachtete Wert kann ein Zähl- oder Messwert sein.
Hier sind einige Anwendungsbeispiele.
- Reisezeitvergleiche zwischen IV und ÖV
- Reisezeitvergleiche verschiedener Szenarien
- Berechnete und gezählte Belastungen (Strecken, Abbieger oder Oberabbieger)
- Berechnete und gemessene Geschwindigkeiten
Zur Auswahl stehen alle numerischen Eingabe- und Ausgabe-Attribute der folgenden Netzobjekttypen:
- Strecken
- Knoten
- Abbieger
- Oberknoten
- Oberabbieger
- Linien
- Linienrouten
- Screenlines
- Fahrzeitprofile
- Wege
Voraussetzung ist, dass die beobachteten Werte >0 sein müssen für den gewählten Netzobjekttyp.
Sie können wählen, welche Objekte Sie in die Umlegungsanalyse einbeziehen wollen. Es bestehen drei Möglichkeiten.
- Alle Objekte des gewählten Netzobjekttyps
- Nur aktive Objekte
- Nur Objekte mit beobachtetem Wert > 0.
Optional können Sie bei der Umlegungsanalyse benutzerdefinierte Toleranzen für benutzerdefinierte Werteklassen des berechneten Attributs berücksichtigen.
Die Güte der Korrelation kann auf zwei Arten ermittelt und ausgegeben werden.
- Gruppiert (je Wert des Klassifizierungsattributs)
- Insgesamt für alle einbezogenen Netzobjekte
Für die Ausgabe wurde das Datenmodell für die oben genannten Netzobjekttypen erweitert um das berechnete Attribut Umlegungsabweichung (UmlgAbw / ASSIGNDEVIATION) vom Typ Real, das wie alle anderen Visum-Attribute für das jeweilige Netzobjekt grafisch und tabellarisch dargestellt werden kann.
Darüber hinaus werden diverse Kenngrößen (je Gruppe oder insgesamt) berechnet, die als Liste oder als Diagramm ausgegeben werden können.
|
Hinweis: Ein Umlegungsergebnis ist nicht mehr zwingend erforderlich für die Ermittlung des Korrelationskoeffizienten. |
Tabelle 162 zeigt die Berechnungsvorschriften für die Ausgabeattribute der Umlegungsanalyse. In den Formeln gilt Folgendes:
|
Z |
Beobachtung (Zählung oder Messung) |
|
U |
Berechnung (Umlegung oder Netzmodell) |
|
N |
Anzahl Objekte mit beobachtetem Wert > 0 |
|
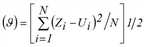
AbsRMSE Abs RMSE |
Absolute Wurzel aus mittlerer quadrierter Abweichung Stärkere Gewichtung signifikanter Differenzen zwischen beobachtetem und berechnetem Wert durch Quadrat nach
|
|
Achsabs Achsenabschnitt |
Koeffizient b bei linearer Regression Siehe Excel, Lineare Regression (y = ax + b) |
|
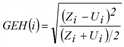
AnteilAkzGEH Anteil mit akzept GEH |
Anteil Objekte mit akzeptablem GEH-Wert (je Netzobjekt)
|
|
AnteilAkzRelFehler Anteil mit akzept rel Fehler |
Anteil Objekte innerhalb der Toleranz
|
|
AnzBeob Anzahl Beobachtungen |
Anzahl Beobachtungen je Klasse (Objekte mit beobachteter Wert > 0) |
|
AnzKlasse Anzahl in Klasse |
Gesamtanzahl (= beobachtete + nicht-beobachtete) Objekte je Klasse |
|
KlassenWert |
Wert des Klassifizierungsattributs (oder leer, falls nicht klassifiziert) |
|
Korr |
Korrelationskoeffizient (Siehe Excel-Funktion Pearson) Hinweise Der Wertebereich liegt zwischen -1 und 1, wobei Folgendes gilt:
Das Verhältnis beobachteter/berechneter Wert sollte möglichst nahe 1 sein. Bei nur zwei Werten > 0 ist der Korrelationskoeffizient -1 oder 1. Der Wert des Korrelationskoeffizienten erlaubt keine Rückschlüsse darauf, ob entweder alle beobachteten Werte größer (oder kleiner) sind als die berechneten Werte oder ob sowohl Abweichungen nach oben als auch Abweichungen nach unten vorliegen. |
|
MittAbsFehler |
Mittlerer absoluter Fehler Mittlere Abweichung der Absolutwerte (δa) (Differenz zwischen beobachtetem und berechnetem Wert)
|
|
MittBeob |
Mittlerer beobachteter Wert |
|
MittRelFehler |
Mittlerer relativer Fehler Mittlere Abweichung der Absolutwerte in % (δp) nach
|
|
R2 |
Bestimmtheitsmaß r2 Siehe Excel-Funktion RSQ |
|
RelRMSE |
Relative Wurzel aus mittlerer quadrierter Abweichung
|
|
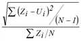
StdAbw |
Grad der Abweichung |
|
Steigung |
Koeffizient a bei linearer Regression Siehe Excel, Lineare Regression (y = ax + b) |
Tabelle 162: Berechnungsvorschriften für die Attribute der Umlegungsanalyse


