Signalisierte Knoten

Hinweise: Im HCM 2000 sind signalisierte Knoten im Kapitel 16 beschrieben, im HCM 2010 in den Kapiteln 18 und 31, und im HCM 6. Auflage in den Kapiteln 19 und 31 sowie im HCM 7. Auflage .

Für Knoten und Oberknoten mit Steuerungstyp signalisiert, denen keine LSA zugewiesen ist oder deren LSA abgeschaltet ist, wird die Methode für vorfahrtsgeregelte Knoten verwendet, nicht die hier beschriebene Methode für signalisierte Knoten.

Das grundlegende Ablaufdiagramm zur Durchführung der Kapazitätsanalyse bei signalisierten Knotenpunkten ist in Abbildung 74 dargestellt. Der Anwender gibt die Knotenpunktgeometrie, Belastung (Zählwerte oder angepasste Nachfragemodellbelastungen) und Signalisierung ein. Die Knotenpunktgeometrie wird in Fahrstreifen-(oder Signal-)gruppen zerlegt, welche die zugrunde liegende Analyseeinheit der HCM-Methode darstellen.

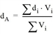
Eine Fahrstreifen- (oder Signal-)gruppe ist eine Gruppe mit einem oder mehreren Fahrstreifen in einer Knotenpunktrichtung, die die gleiche Grünphase haben. Besitzt eine Richtung zum Beispiel nur eine Fahrbahnaufweitung für Linksabbieger und einen gemeinsam genutzten Geradeaus- und Rechtsabbieger, dann gibt es üblicherweise zwei Fahrstreifengruppen – die linke und die gemeinsam genutzte geradeaus/rechts.

Hinweis: Die Aufteilung erfolgt ab dem HCM 2010 nach anderen Regeln. Hier bilden Mischfahrstreifen immer eine eigene Fahrstreifengruppe. Eine genauere Beschreibung befindet sich im HCM 2010 auf Seite 18-33 und im HCM 6. Auflage auf Seite 19-43 sowie im HCM 7. Auflage.

Die Belastungen werden dann über Spitzenstundenfaktoren (PHF) etc. angepasst. Für jede Fahrstreifengruppe wird die Sättigungsverkehrsstärke (SFR) oder Kapazität anhand der Anzahl der Fahrstreifen und verschiedener Anpassungsfaktoren wie Fahrstreifenbreite, Signalisierung und Fußgängerbelastungen berechnet. Nachdem die Nachfrage und die Kapazität jeder Fahrstreifengruppe berechnet wurde, können verschiedene Erfolgsmessgrößen ermittelt werden. Das sind zum Beispiel die Auslastung, die durchschnittlichen Widerstände aus der Knotensteuerung je Fahrzeug, der Level of Service und Staus.

Abbildung 74: Ablauf bei der Kapazitätsanalyse für signalisierte Knoten

Hinweis: Ein analoges Ablaufdiagramm befindet sich im HCM 2010 auf den Seiten 18-32 und im HCM 6. Auflage auf den Seiten 19-42 sowie im HCM 7. Auflage.

Wenn Sie das Operationsmodell für signalisierte Knoten anwenden, wirken sich die in Tabelle 100 aufgeführten Visum-Attribute aus. Beachten Sie, dass einige Attribute nur ab einer bestimmten HCM-Version berücksichtigt werden. Stellen Sie sicher, dass realistische Werte für die Attribute definiert sind, ehe die Analyse gestartet wird.

Alternativ zur Berechnungsweise nach HCM können Sie eine der folgenden Methoden verwenden:

  • ICU1
  • ICU2
  • Circular 212 Planning
  • Circular 212 Operations

Die Verfahren unterscheiden sich nur in drei Aspekten vom HCM:

  • Definition der idealen Sättigungsverkehrsstärke
  • Berechnung der endgültigen Auslastung v/s für den Knoten
  • Bestimmung des Level of Service (LOS)

Die Berechnungsvarianten sind in den Schritten Schritt 6, Schritt 9 und Schritt 13 unten näher beschrieben.

Hinweis: Visum erlaubt den Anschluss von RBC-Steuerungen und externen Steuerungen vom Typ Vissig. Bei Vissig-Steuerungen handelt es sich um Festzeitsteuerungen, bei RBC-Steuerungen um Festzeitsteuerungen (pretimed) oder verkehrsabhängige Steuerungen (verkehrsabhängig oder teilverkehrsabhängig, also fully actuated oder semi actuated). Das HCM 2010 bietet eine Berechnungsmethode sowohl für Festzeitsteuerungen als auch für verkehrsabhängige Steuerungen. In Visum wird für Vissig-Steuerungen die Methode für Festzeitsteuerungen verwendet, bei RBC-Steuerungen hängt die Methode vom Verkehrsabhängigkeitstyp (actuation type) ab. Eine Beschreibung dieser Methode befindet sich im HCM 2010 in den Kapiteln 18 und 31 und im HCM 6. Auflage in den Kapiteln 19 und 31. Bevor eine Berechnung durchgeführt wird, importiert Visum die Signalisierungsdaten für die Steuerung aus der zugehörigen Steuerungsdatei.

Netzobjekt

Attribut

Beschreibung / Auswirkung

Strecke

ICA Arrival type

Grad der Kolonnenbildung des ankommenden Verkehrs am Nach-Knoten, nachfolgend verwendet in Schritt 10 + Schritt 14a

Strecke

Anteil LKW

LKW-Anteil, verwendet in Schritt 6b. Ein pauschaler Wert, der sich auf alle von der Strecke ausgehenden Abbieger bezieht.

Strecke

Platzbedarf pro PKW-Einheit

Verwendet in Schritt 6 bei der Ermittlung der Anzahl von Fahrzeugen, die auf einen Aufweitungsfahrstreifen passen.

Strecke

Steigung

Verwendet in Schritt 6

Strecke

ICA Ist Baustelle in Zufahrt

Kennzeichnet eine temporäre Baustelle im Zufahrtsbereich der Kreuzung, verwendet in Schritt 6 (ab HCM 6. Auflage).

Strecke

ICA Anzahl Fahrstreifen in Baustelle

Anzahl der während der temporären Baustelle offenen Fahrstreifen, verwendet in Schritt 6.

Strecke

ICA Fahrstreifenbreite in Baustelle

Gesamtbreite der während der temporären Baustelle offenen Fahrstreifen, verwendet in Schritt 6.

Strecke

ICA Faktor für Rückstau

Verwendet in Schritt 6.

Strecke

ICA Faktor für Fahrstreifenblockierung

Verwendet in Schritt 6.

Strecke

ICA Rechtsabbieger beeinflusst gegenüberliegenden Linksabbieger

Die Zeitlückenwahl von Linksabbiegern wird durch Rechtsabbieger (Rechtsverkehr) aus der gegenüberliegenden Zufahrt beeinflusst, auch wenn diese einen eigenen Fahrstreifen haben, verwendet in Schritt 6.

Knoten

ICA Peak hour factor volume adjustment

Anpassungsfaktor der anfänglichen Belastung an die Spitzenbelastung. Die Belastungen werden sowohl durch den Knoten- als auch durch die Abbiegeranpassungsfaktoren geteilt.

Knoten

ICA Verlustzeit

Verwendet in Schritt 9. Nur für signalgruppenbasierte LSA benötigt. Für andere Signalisierungstypen wird der Wert automatisch abgeleitet.

Knoten

ICA Eingestellte Verlustzeit verwenden

Bestimmt, ob für die Ermittlung der Verlustzeit in Schritt 9 das Knotenattribut ICAVerlustZ oder ein automatisch berechneter Wert verwendet wird.

Knoten

ICA Ist Central Business District

Liegt der Knoten im Central Business District?; verwendet in Schritt 6e.

Knoten

ICA Sneakers

Anzahl Fahrzeuge, die sich pro Umlauf im Knotenbereich aufstellen können. Der Wert in [Fzg] gilt für alle Fahrtbeziehungen an dem Knoten. Mit Hilfe der Umlaufzeit wird eine minimale Kapazität für jede Fahrtbeziehung ermittelt.

Knoten

LSA-Nummer

Verweist auf die LSA.

Knoten ICAAnteilCAVs Optionale Berücksichtigung des Anteils autonomer Fahrzeuge. Der Wertebereich liegt zwischen 0 und 100%. Das Attribut wird für die Berechnung der idealen Sättigungsverkehrsstärke im Schritt 6 ab dem HCM 7. Auflage berücksichtigt.

Geometrie

alle

Geometrieinformationen zu Fahrstreifen, Fahrstreifenabbiegern und Furten.

Abbieger

ICAPHFVolAdj

Initiale Belastung wird der Spitzenperiode angepasst, Belastungen werden sowohl durch den Knoten- als auch den Abbiegeranpassungsfaktor geteilt.

Abbieger

ICA Eingestellte effektive Sättigungsverkehrsstärke

Überschreibt optional die in den Verfahrensparametern eingestellte globale Sättigungsverkehrsstärke. Wird gegebenenfalls vom gleichnamigen Wert am Fahrstreifen überschrieben.

Abbieger ICA Zuflussfaktor Anpassungsfaktor zur Zuflussbegrenzung, verwendet in Schritt 10b +Schritt 14b

Abbieger

Anteil LKW

LKW-Anteil, verwendet in Schritt 6b. Ein pauschaler Wert, der sich auf die Abbieger bezieht.

Abbieger

ICA Wartezeit unsignalisierter Ströme

Wartezeit unsignalisierter Ströme, verwendet in Schritt 11 und 12.

Signalsteuerung

alle

Definition von Signalgruppen, Phasen (gegebenenfalls) und Signalisierung.

LSA

Verwendete Zwischenzeit-Methode

Verwendet in Schritt 9 bei der Ermittlung der Verlustzeiten.

LSA

Abgeschaltet

Ist eine LSA als abgeschaltet markiert, wird der Knoten entsprechend dem Steuerungstyp „vorfahrtsgeregelt“ berechnet.

Signalgruppe

ICA Verlustzeit-Anpassung

Wird zur tatsächlichen Grünzeit addiert. Die Summe aus tatsächlicher Grünzeit und ICA Verlustzeit-Anpassung ergibt die effektive Grünzeit, auf der alle Berechnungen basieren.

Signalgruppe ICA Start-Verlustzeit Wirkt auf die Berechnung der effektiven Grünzeit aus gemäß den HCM Formeln.

Arm

ICA Busfrequenz

Anzahl der Bushalte in Fzg/h; dient der Berechnung des Anpassungsfaktors für die Sättigungsverkehrsstärke zur Berücksichtigung von Bushaltestellen gemäß den HCM Formeln.

Arm

ICA Parken rechts/links möglich

Beschreibt, ob das Parken auf der rechten oder linken Straßenseite erlaubt ist; dient der Berechnung des Anpassungsfaktors für die Sättigungsverkehrsstärke zur Berücksichtigung von Parkvorgängen gemäß den HCM Formeln.

Arm ICA Parkfrequenz rechts/links Anzahl der Parkvorgänge / h auf der rechten bzw. linken Seite; dient der Berechnung des Anpassungsfaktors für die Sättigungsverkehrsstärke zur Berücksichtigung von Parkvorgängen gemäß den HCM Formeln.

Arm

ICA Radfahrer-Belastung

Anzahl von Radfahrern pro Stunde, zur Ermittlung eines Anpassungsfaktors für Sättigungsverkehrsstärke.

Fahrstreifen

Anzahl Fahrzeuge

Benutzerdefinierte Anzahl Fahrzeuge 0.0, die auf die Aufweitung passen. Das Attribut wird nur verwendet, wenn das Attribut Anzahl Fahrzeuge verwenden aktiv ist und wenn der globale Verfahrensparameter für die Verwendung der Aufweitungslänge bei der Ermittlung der Sättigungsverkehrsstärke aktiv ist.

Fahrstreifen

Anzahl Fahrzeuge verwenden

Entscheidung, ob Anzahl Fahrzeuge vom Fahrstreifen verwendet werden soll. Wenn das Attribut nicht aktiv ist, wird die Anzahl Fahrzeuge aus der Länge der Aufweitung und dem Attribut Platzbedarf pro PKW-Einheit ermittelt.

Fahrstreifen

Länge

Länge des Fahrstreifens, falls es sich um eine Aufweitung handelt. Das Attribut wird nur verwendet, wenn das Attribut Anzahl Fahrzeuge verwenden nicht aktiv ist und wenn der globale Verfahrensparameter für die Verwendung der Aufweitungslänge bei der Ermittlung der Sättigungsverkehrsstärke aktiv ist. Die Anzahl Fahrzeuge wird dann aus der Länge der Aufweitung und dem Attribut Platzbedarf pro PKW-Einheit ermittelt.

Fahrstreifen

Breite

Breite des Fahrstreifens. Dient zur Ermittlung der Sättigungsverkehrsstärke der Fahrstreifengruppe, in der der Fahrstreifen enthalten ist. Die für die Fahrstreifengruppe ermittelte Breite ist der Durchschnitt der Breiten der Fahrstreifen, die sie enthält.

Fahrstreifen

ICA Eingestellte effektive Sättigungsverkehrsstärke

Sättigungsverkehrsstärke für den Fahrstreifen nach Berücksichtigung aller Anpassungsfaktoren. Verwenden Sie dieses Attribut, um die Sättigungsverkehrsstärke direkt zu setzen, falls die Anpassungsfaktoren nach HCM nicht die realen Verhältnisse am Fahrstreifen widerspiegeln. Dieser Wert überschreibt den in den Verfahrensparametern gesetzten Wert und gegebenenfalls an den Abbiegern gesetzte Werte.

Fahrstreifen

ICA Eingestellte effektive Sättigungsverkehrsstärke verwenden

Entscheidung, ob die intern berechnete effektive Sättigungsverkehrsstärke durch den Wert von ICA Eingestellte effektive Sättigungsverkehrsstärke ersetzt werden soll.

Fahrstreifen

ICA Nutzungsanteil

Belastungsanteil des Fahrstreifens innerhalb einer mehrstreifigen Fahrstreifengruppe. Die Summe der angegebenen Anteile wird automatisch auf 100% normiert, d.h. Sie können relative Gewichte pro Fahrstreifen angeben. Dieser Wert wird in Schritt Schritt 6 verwendet.

Fahrstreifen

ICA Nutzungsanteil verwenden

Entscheidung, ob der intern berechnete Nutzungsanteil durch den Wert von ICA Nutzungsanteil ersetzt werden soll.

Furt

Fußgänger-Belastung

Anzahl von Fußgängern pro Stunde, zur Ermittlung eines Anpassungsfaktors für Sättigungsverkehrsstärke.

Tabelle 100: Eingabe-Attribute für signalisierte Knoten

Hinweis: Das Streckenattribut Abbiegen bei Rot erlaubt wird bei der Berechnung nicht berücksichtigt.

Die Ausgabe ist über die in Tabelle 101 aufgeführten Attribute möglich.

Netzobjekt

Attribut

Beschreibung / Auswirkung

Knoten

Abbieger tAkt Max

Abbieger tAkt Mittel

Abbieger tAkt gesamt

Summe, Mittel, Maximum von Abbieger tAkt. Nun obsolet, da als indirekte Attribute verfügbar, aber erhalten wegen Rückwärtskompatibilität.

Knoten

Bemessungsauslastung IV

Auslastung basierend auf der Bemessungsverkehrsstärke

Knoten

Bemessungsverkehrsstärke IV [Fzg]

Belastung in [Fzg/h], die in die HCM-Berechnung eingehen wird, wie in den Verfahrensparametern definiert

Knoten

Bemessungsverkehrsstärke IV [PkwE]

Belastung in [PkwE/h], die in die HCM-Berechnung eingehen wird, wie in den Verfahrensparametern definiert

Knoten

Level of Service

 

Knoten

Level of Service mittlere Wartezeit

 

Abbieger

Bemessungsverkehrsstärke IV [Fzg] …

Belastung in [Fzg/h], die in die HCM-Berechnung eingehen wird, wie in den Verfahrensparametern definiert

Abbieger

Bemessungsverkehrsstärke IV [PkwE]…

Die Belastung in [PkwE/h], die in die HCM-Berechnung eingehen wird, wie in den Verfahrensparametern definiert

Abbieger

ICA Endgültige Belastung

nach allen Anpassungen

Abbieger

ICA Endgültige Kapazität

Effektive Kapazität unter Berücksichtigung des Gegenverkehrs etc.

Abbieger

ICA Berechnete Sättigungsverkehrsstärke

nach allen Anpassungen

Abbieger

ICA mittlere Staulänge

Mittlere Staulänge

Abbieger

ICA Perzentil der Staulänge

Perzentil der Staulänge. In den Verfahrensparametern einstellen, welches Perzentil berechnet wird.

Abbieger

Level of Service

Level of Service des Abbiegers

Abbieger

tAkt-IVSys

VSys-spezifische Fahrzeit im belasteten Netz

Tabelle 101: Ausgabe-Attribute für signalisierte Knoten

Schritt 1: Fahrstreifenbelastung aus Fahrtbeziehungsbelastung berechnen

In diesem Schritt wird die Fahrtbeziehungsbelastung gemäß der benutzerdefinierten Geometrie auf die Fahrstreifen verteilt. Die grundsätzliche Verteilungsregel besteht darin, die Belastungen gleichmäßig auf die Fahrstreifen zu verteilen, wobei die eingegebenen Fahrtbeziehungsbelastungen berücksichtigt werden. Die implementierte Methode ist die gleiche wie die der Methode All-way stop (All-way stop). Sie können die Nutzungsanteile jedes Fahrstreifens innerhalb seiner Fahrstreifengruppe bei Bedarf überschreiben (Fahrstreifen-Attribut ICA Nutzungsanteil).

Hier unterscheidet sich das HCM 2010 deutlich vom HCM 2000. Die Berechnung ist im HCM 2010 deutlich komplexer. Fahrstreifenbelastungen werden hier iterativ unter Zuhilfenahme von Sättigungsverkehrsstärken ermittelt. Eine Beschreibung befindet sich im HCM 2010 auf den Seiten 31-30 bis 31-37.

Schritt 2: Belastungen mittels Spitzenstundenfaktor anpassen

Die eingegebenen Fahrstreifenbelastungen werden über den Spitzenstundenfaktor (PHF = peak hour factor) angepasst, um die Spitzenstundenbelastung darzustellen. Der PHF wird wie folgt definiert:

vi = vg / PHF

wobei

vi

angepasste Belastung für Fahrstreifengruppe i

vg

nicht angepasste (eingegebene) Belastung für Fahrstreifengruppe g

PHF

(peak hour factor) Spitzenstundenfaktor (0,25 - 1,0)

Schritt 3: Allgemeine Fahrstreifengruppen links/geradeaus/rechts berechnen

Allgemeine Fahrstreifengruppen sind gemeinsam genutzte Fahrstreifen, bei denen sich 100% der Belastung in die gleiche Richtung bewegt. Wenn zum Beispiel eine Fahrstreifengruppe aus einem gemeinsam genutzten Fahrstreifen links/geradeaus besteht und 100% der Fahrstreifenbelastung links abbiegt, dann wird die Gruppe in eine allgemeine Fahrstreifengruppe ausschließlich links umgewandelt.

Im HCM 2010 wird die Menge der Fahrstreifengruppen nicht durch die Abbiegebelastungen beeinflusst. Wie oben beschrieben bilden Mischfahrstreifen immer eine eigene Fahrstreifengruppe, selbst wenn de facto nur eine Abbiegerichtung benutzt wird.

Schritt 4: Linksabbiegetyp berechnen

Der Linksabbiegetyp muss bestimmt werden, um den Anpassungsfaktor für Linksabbieger zu berechnen. Der Linksabbiegetyp wird wie folgt gesetzt.

  • Voll verträglich, wenn alle Abbieger einer Zufahrt während ihrer Grünzeiten konfliktfrei sind.
  • Voll gesichert, wenn der Linksabbieger während der Grünzeit konfliktfrei ist.
  • Voll gesichert + bedingt-verträglich, wenn der Linksabbieger während der Grünzeit erst voll gesichert und dann bedingt-verträglich ist.
  • Bedingt-verträglich + voll gesichert, wenn der Linksabbieger während der Grünzeit erst bedingt-verträglich und dann voll gesichert ist.
  • Ohne Linksabbiegerphase, alle anderen Fälle.

Schritt 5: Anteil der links abbiegenden und rechts abbiegenden Fahrzeuge je Fahrstreifengruppe berechnen

Der Anteil der Rechtsabbieger- und Linksabbiegerbelastung je Fahrstreifengruppe muss berechnet werden.

PLT = vLT / vi

PRT = vRT / vi

wobei

PLT

Anteil Linksabbiegerbelastung für Fahrstreifengruppe

PRT

Anteil Rechtsabbiegerbelastung für Fahrstreifengruppe

vi

angepasste Belastung für Fahrstreifengruppe

vLT

Belastung links abbiegende Fahrzeuge für Fahrstreifengruppe

vRT

Belastung rechts abbiegende Fahrzeuge für Fahrstreifengruppe

Im HCM 2010 werden die Abbiegeranteile auf den Mischfahrstreifen mit der in Schritt 1 erwähnten iterativen Methode berechnet. Eine detaillierte Beschreibung beginnt im HCM 2010 auf Seite 31-30.

Schritt 6: Sättigungsverkehrsstärke je Fahrstreifengruppe berechnen

Die Sättigungsverkehrsstärke (SFR) ist die Verkehrsmenge, die unter den gegebenen Geometrie- und Signalisierungskonditionen abbiegen kann. Die SFR beginnt mit einer optimalen Kapazität, bei HCM 2000 und HCM 2010 normalerweise 1 900 Fahrzeuge pro Stunde je Fahrstreifen (vphpl).

Ab HCM 7 wird der Anteil autonomer Fahrzeuge (CAV) am Knoten bei der Berechnung die ideale Sättigungsverkehrsstärke je Fahrstreifen berücksichtigt.

In den Berechnungsvarianten ICU1 und ICU2 beträgt die ideale Sättigungsverkehrsstärke stattdessen 1 600 Fahrzeuge pro Stunde je Fahrstreifen. In der Variante Circular 212 wird sie der folgenden Tabelle entnommen:

Methode

2 Phasen

3 Phasen

4+ Phasen

Planning

1 500

1 425

1 375

Operations

1 800

1 720

1 650

Diese Zahl reduziert sich aufgrund verschiedener Faktoren. Die SFR ist wie folgt definiert:

si = (so)(N) • (fw)(fHV)(fg)(fp)(fa)(fbb)(fLu)(fRT)(fLT)(fLpb)(fRpb)(fWZ)(fms)(fsp)

wobei

si

Sättigungsverkehrsstärke Fahrstreifengruppe i

so

ideale Sättigungsverkehrsstärke je Fahrstreifen (gewöhnlich 1 900 vphpl)

N

Anzahl Fahrstreifen in Fahrstreifengruppe

fw

Anpassungsfaktor für Fahrstreifenbreite

fHV

Anpassungsfaktor für LKWs (*)

fg

Anpassungsfaktor für Steigung der Zufahrt (*)

fp

Anpassungsfaktor für Parken

fa

Anpassungsfaktor für Lage der Strecke zum Stadtzentrum (CBD/nicht CBD)

fbb

Anpassungsfaktor für Blockierung durch Bushaltestelle

fLu

Anpassungsfaktor für Fahrstreifennutzung

fRT

Anpassungsfaktor für Rechtsabbieger

fLT

Anpassungsfaktor für Linksabbieger (***)

fLpb

Anpassungsfaktor für Fußgänger und Radfahrer bei Linksabbiegern

fRpb

Anpassungsfaktor für Fußgänger und Radfahrer bei Rechtsabbiegern

fWZ

Anpassungsfaktor für Präsenz von Baustellen (**)

fms

Anpassungsfaktor für Fahrstreifenblockierung (**)

fsp

Anpassungsfaktor für anhaltenden Rückstau (**)

(*) Die Anpassungsfaktoren für LKW und Steigungen wurden im HCM 6. Auflage zusammengefasst und ersetzen die bisherigen getrennten Faktoren für LKW und Steigungen des HCM 2000 bzw. 2010.

(**) ab HCM 6. Auflage.

(***) ab HCM 7. Auflage wird an dieser Stelle zusätzlich der Anteil autonomer Fahrzeuge am Knoten berücksichtigt.

Im Folgenden wird zunächst die Hauptrechnung beschrieben und danach erst die Berechnung der unterschiedlichen SFR-Anpassungsfaktoren.

Ist eine ICA ideale Sättigungsverkehrsstärke für einen Abbieger definiert, ersetzt diese das Endergebnis von Schritt 5. Alle Anpassungsberechnungen werden dann übersprungen.

Die Berechnungen im HCM 2000 und HCM 2010 sind ähnlich. Die Menge der Faktoren, die die Sättigungsverkehrsstärke beeinflussen, ist die gleiche. Unterschiede ergeben sich bei der Berechnung der Faktoren fw (HCM 2010, Seite 18-36), fLpb und fRpb. Letztere werden mit der iterativen Methode berechnet, die im HCM 2010 auf den Seiten 31-30 bis 31-37 beschrieben ist.

Für die Berechnung im HCM 6. Auflage wurden die Anpassungsfaktoren für LKWs und für Steigung zusammengefasst. Neu eingeführt wurde ein Anpassungsfaktor, der das Vorhandensein von Baustellen an der Zufahrt berücksichtigt. Die Anpassungsfaktoren für anhaltenden Rückstau und für die Fahrtstreifenblockierung können ebenfalls berücksichtigt werden. Die vollständige Formel zur Berechnung der Sättigungsstärke für die Fahrstreifengruppe befindet sich im HCM 6. Auflage auf den Seiten 19-44.

Abweichend vom HCM 2000 kann die ideale Sättigungsverkehrsstärke so von Aufweitungsfahrstreifen auch mit Hilfe der Anzahl von Fahrzeugen ermittelt werden, die dort Platz finden. Die Anzahl n von Fahrzeugen kann entweder direkt am Fahrstreifen angegeben werden, oder sie ergibt sich durch Division aus der Länge des Aufweitungsfahrstreifens und der Standard-Fahrzeuglänge, die an der Strecke angegeben ist.

Die alternative Berechnungsmethode mit Fahrstreifenlängen wird nur verwendet, wenn die Fahrstreifengruppe einen oder mehrere Geradeaus-Durchgangsfahrstreifen enthält und genau einen Aufweitungsfahrstreifen. Der Aufweitungsfahrstreifen muss vom Typ Geradeaus, Geradeaus-Links oder Geradeaus-Rechts sein. Sind diese Bedingungen nicht erfüllt, wird auf die normale HCM-Berechnung zurückgegriffen.

Die optimale Sättigungsverkehrsstärke so einer zweistreifigen Fahrstreifengruppe, die aus einem Durchgangsfahrstreifen und einer Aufweitung besteht, auf der n Fahrzeuge Platz haben, ergibt sich dann folgendermaßen:

Hierbei ist so die ideale Sättigungsverkehrsstärke, n die Anzahl von Fahrzeugen, die auf der Aufweitung Platz haben, gi die effektive Grünzeit und sf die resultierende Sättigungsverkehrsstärke der Fahrstreifengruppe.

Bei Mischfahrstreifen ist die Berechnung komplizierter. Geht man von einem Durchgangsfahrstreifen mit nur Geradeausabbiegern und einer geteilten Links-Geradeaus-Aufweitung aus, so ergibt sich die resultierende Sättigungsverkehrsstärke sf folgendermaßen:

Dabei sind vLT und vST die Belastungen des Links- und des Geradeausabbiegers, sLT die ideale Sättigungsverkehrsstärke des Linksabbiegers – also 1900 vphpl – und sST die sich aus der ersten Gleichung ergebende ideale Sättigungsverkehrsstärke der Geradeausfahrstreifen.

Schritt 7: Effektive Grünzeiten berechnen

Die effektive Grünzeit (oder die tatsächliche Grünzeit einer Fahrstreifengruppe) muss als nächstes berechnet werden. Die effektive Grünzeit ergibt sich folgendermaßen:

gi = Gi + li

wobei

gi

effektive Grünzeit für Fahrstreifengruppe

Gi

Grünzeit für Fahrstreifengruppe

li

Verlustzeit-Anpassung der Signalgruppe

Schritt 8: Kapazität je Fahrstreifengruppe berechnen

Verwandt mit der Sättigungsverkehrsstärke ist die Kapazität. Die Sättigungsverkehrsstärke entspricht der Kapazität, wenn 100 % der Grünzeit auf die Fahrtbeziehung fallen (das heißt, die Lichtsignalanlage zeigt immer grün für die Fahrtbeziehung). Die Kapazität berücksichtigt jedoch die Tatsache, dass die Fahrtbeziehung die Lichtsignalanlage mit anderen Fahrtbeziehungen am Knotenpunkt teilen muss, und skaliert die SFR daher mit dem Prozentanteil der Grünzeit im Umlauf. Die Kapazität der Fahrstreifengruppe ist dann wie folgt definiert.

ci = si • (gi / C)

wobei

ci

Kapazität i

si

Sättigungsverkehrsstärke i

C

Umlaufzeit

gi / C

Grünzeitanteil i

Schritt 9: Kritische Auslastung für gesamten Knotenpunkt berechnen

Nachfolgend wird die kritische Knotenpunktauslastung definiert. Die HCM-Methode befasst sich mit der kritischen Fahrstreifengruppe für jede Signalphase. Die kritische Fahrstreifengruppe ist die Fahrstreifengruppe mit der größten Auslastung, es sei denn, es gibt überlappende Phasen. Ist dies der Fall, dann wird das Maximum der verschiedenen Phasenkombinationen als Maximum genommen. Im HCM 2000 ist diese Methode auf Seite 16-14, im HCM 2010 auf Seite 18-41 beschrieben.

Verlustzeiten werden überhaupt nur ermittelt, wenn die verwendete Zwischenzeitmethode der LSA Gelb und Allred lautet. Pro Signalgruppe ergibt sich die Verlustzeit als Summe von Gelbzeit und Allredzeit minus Verlustzeit-Anpassung.

wobei

Xc

kritische Auslastung (v/c) für den Knotenpunkt

Auslastung für alle kritischen Fahrstreifengruppen

C

Umlaufzeit

L

Summe der Verlustzeiten der Signalgruppen aller kritischen Fahrstreifengruppen

Es folgt ein Berechnungsbeispiel für kritische Fahrstreifengruppe je Signalphase mit Überlappung.

In der Berechnungsvariante ICU1 ist Xc wie folgt definiert:

In der Berechnungsvariante ICU2 ist Xc wie folgt definiert:

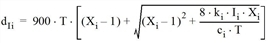
Schritt 10: Mittlere Gesamtwartezeit je Fahrstreifengruppe

Zusätzlich zur Berechnung der kritischen Knotenpunktauslastung bestimmt die HCM-Methode die mittlere Wartezeit je Fahrzeug. Die mittlere Wartezeit wird nachstehend definiert.

di = dUiPF + dIi + dRi

wobei

di

Mittlere Wartezeit je Fahrzeug für Fahrstreifengruppe i

dUi

einheitliche Wartezeit

dIi

inkrementelle Wartezeit (stochastisch)

dRi

Wartezeit Restnachfrage

PF

gleichmäßiger Anpassungsfaktor für Koordinierungsqualität (Signalkoordinierung (LSA-Versatzzeit-Optimierung))

Im HCM 2010 hat die Gleichung eine ähnliche Form. Der Faktor PF ist allerdings in den Faktor dUi integriert. Die Berechnung ist im HCM 2010 beginnend auf Seite 18-45 beschrieben.

wobei

fPA

Nachschlagewert (HCM Anlage 16-12) basierend auf dem Ankunftstyp

RP

Nachschlagewert (HCM Anlage 16-12) basierend auf dem Ankunftstyp

Schritt 10a: Einheitliche Wartezeit für jede Fahrstreifengruppe berechnen

Die einheitliche Wartezeit ist die erwartete Wartezeit, sofern eine einheitliche Verteilung der Ankünfte und keine Sättigung vorliegen. Sie wird wie folgt berechnet:

wobei

dUi

einheitliche Wartezeit für Fahrstreifengruppe i

gi

effektive Grünzeit

Xi = v/c

Auslastung

Schritt 10b: Inkrementelle Wartezeit für jede Fahrstreifengruppe berechnen

Die inkrementelle Wartezeit ist die stochastische Wartezeit, die auftritt, da Ankünfte nicht einheitlich sind und einige Umläufe überfüllt werden. Sie wird wie folgt berechnet.

wobei

dIi

inkrementelle (stochastische) Wartezeit für Fahrstreifengruppe i

ci

Kapazität der Fahrstreifengruppe i

Xi = v/c

Auslastung

T

Dauer des Analysezeitraums (h) (Standardwert 0,25 für 15 Min.)

ki

Nachschlagewert (HCM Anlage 16-13) basierend auf dem Typ des Steuerungsgeräts

Ii

Anpassungsfaktor für die Durchflussbegrenzung durch den stromaufwärts gelegenen Knoten (für isolierten Knotenpunkt auf 1 gesetzt)

Schritt 10c: Wartezeit für Restnachfrage für jede Fahrstreifengruppe berechnen

Die Wartezeit für Restnachfrage ergibt sich aus der unbefriedigten Nachfrage zu Beginn eines Analysezeitraums. Sie wird nur berechnet, wenn eine anfängliche unbefriedigte Nachfrage zu Beginn des Analysezeitraums eingegeben wird (Q). In der gegenwärtigen Implementierung wird sie auf 0 gesetzt. Sie wird wie folgt berechnet.

wobei

dRi

Wartezeit Restnachfrage für Fahrstreifengruppe i

Qbi

anfängliche, unbefriedigte Nachfrage zu Beginn des Zeitraums T in Fahrzeugen für Fahrstreifengruppe (Standardwert 0)

ci

Kapazität

T

Dauer des Analysezeitraums (h) (Standardwert 0.25 für 15 Min.)

ui

Wartezeitparameter für Fahrstreifengruppe (Standardwert 0)

ti

Dauer der unbefriedigten Nachfrage in T für Fahrstreifengruppe (Standardwert 0).

Schritt 11: Wartezeit für Zufahrt berechnen

Die Gesamtwartezeit pro Fahrzeug für jede Fahrstreifengruppe kann mit folgenden Gleichungen auf die Zufahrt und den ganzen Knotenpunkt aggregiert werden. Die Wartezeit Zufahrt wird berechnet als gewichtete Wartezeit für jede Fahrstreifengruppe.

wobei

dA

mittlere Gesamtwartezeit pro Fahrzeug für Zufahrt A

di

Wartezeit für Fahrstreifengruppe i

Vi

Belastung für Fahrstreifengruppe i

Schritt 12: Wartezeit Knotenpunkt berechnen

Die Wartezeit Knotenpunkt wird berechnet als gewichtete Wartezeit für jede Zufahrt.

wobei

dI

durchschnittliche Wartezeit pro Fahrzeug für Knotenpunkt I

dA

Wartezeit für Zufahrt

VA

Belastung der Zufahrt

Mit dem HCM 6. Auflage ist es möglich, für unsignalisierte Ströme eine Wartezeit zu definieren, die bei der Berechnung der Wartezeiten für die Zufahrt bzw. den Knoten berücksichtigt werden kann. In dem Fall ist die Einbeziehung der eingegebenen Werte für die Berechnung auszuweisen.

Schritt 13: Level of Service berechnen

Level of Service ist bei der Berechnungsvariante HCM 2000 als ein auf der durchschnittlichen Wartezeit des Knotenpunkts basierender Wert definiert.

LOS

Durchschnittliche Wartezeit/Fahrzeug

A

0 – 10 Sek.

B

10 – 20 Sek.

C

20 – 35 Sek.

D

35 – 55 Sek.

E

55 – 80 Sek.

F

80 + Sek.

Im HCM 2010 wird das LOS automatisch auf F festgelegt, falls v/c (Belastung geteilt durch Kapazität, Volume-to-Capacity Ratio) den Wert 1 überschreitet.

Bei den Varianten ICU 1, ICU2, und Circular 212 ist Level of Service stattdessen über die Auslastung v/s des Knotenpunkts definiert:

LOS

v/s

A

0,000 - 0,600

B

0,601 - 0,700

C

0,701 - 0,800

D

0,801 - 0,900

E

0,901 - 1,000

F

>1,000

Schritt 14: Mittlere Staulänge für jede Fahrstreifengruppe berechnen

Auch Staulängen werden mit dem Verfahren HCM 2000 berechnet. Die Methode im HCM 2010 unterscheidet sich und ist dort im Abschnitt 31-4, beginnend ab Seite 31-67 beschrieben.

Die Gleichung für die mittlere Staulänge lautet folgendermaßen:

Q = Q1 + Q2

wobei

Q

mittlere Staulänge – maximale Länge gemessen in Fahrzeugen, auf die sich die Warteschlange bei durchschnittlichem Signalumlauf erstreckt

Q1

mittlere Staulänge bei gleichmäßiger Ankunft mit Progressionsanpassung

Q2

inkrementeller Term für zufällige Ankünfte und Übertrag auf den nächsten Umlauf

Schritt 14a: Anzahl der beim ersten Umlauf rückgestauten Fahrzeuge berechnen

Q1 steht für die Anzahl der in den Rotphasen und in der Grünphase ankommenden Fahrzeuge, bis die Warteschlange sich aufgelöst hat.

wobei

PF2

Progressionsfaktor 2

vi

Belastung der Fahrstreifengruppe i pro Fahrstreifen

C

Umlaufzeit

gi

effektive Grünzeit der Fahrstreifengruppe i

Xi

Auslastung der Fahrstreifengruppe i

wobei

PF2

Progressionsfaktor 2

vi

Belastung der Fahrstreifengruppe i pro Fahrstreifen

C

Umlaufzeit

gi

effektive Grünzeit der Fahrstreifengruppe i

si

Sättigungsverkehrsstärke für Fahrstreifengruppe i

RP

Pulkanteil – gemäß Nachschlagetabelle für Ankunftstyp

Schritt 14b: Anzahl der über mehrere Umläufe rückgestauten Fahrzeuge, Schätzung für mittlere Überlaufwarteschlange

wobei

T

Analysezeitraum (normalerweise 0,25 für 15 Min.)

k

Anpassungsfaktor für frühe Ankunft

Qb

Anfangswarteschlange zu Beginn des Zeitraums (Standardwert 0)

ci

Kapazität für Fahrstreifengruppe i

k = 0,12 I • (sigi / 3 600)0,7 für Festzeitsignal

k = 0,10 I • (sigi / 3 600)0,6 für verkehrsabhängiges Signal

I

Filterfaktor stromaufwärts (für isolierte Knotenpunkte auf 1 gesetzt)

Schritt 15: Perzentil der Staulänge berechnen

Nach der Berechnung der mittleren Staulänge wird das Perzentil der Staulänge folgendermaßen berechnet:

wobei

Q

Mittlere Staulänge

Perzentil

Festzeitsignal

Verkehrsabhängiges Signal

 

P1

P2

P3

P1

P2

P3

70%

1,2

0,1

5

1,1

0,1

40

85%

1,4

0,3

5

1,3

0,3

30

90%

1,5

0,5

5

1,4

0,4

20

95%

1,6

1,0

5

1,5

0,6

18

98%

1,7

1,5

5

1,7

1,0

13

Anpassungsfaktoren der Sättigungsverkehrsstärke

Nun zurück zur Berechnung der Sättigungsverkehrsstärke (Sättigungsverkehrsstärke je Fahrstreifengruppe berechnen), die mit mehreren Anpassungsfaktoren verknüpft ist.

Schritt 6a: Anpassungsfaktor Fahrstreifenbreite berechnen

wobei

fw

Anpassungsfaktor Fahrstreifenbreite

W

mittlere Fahrstreifenbreite (≥ 8) (ft)

Diese Methode unterscheidet sich im HCM 2010. Eine Beschreibung befindet sich dort auf Seite 18-36.

Schritt 6b: Faktor für Schwerlastfahrzeuge berechnen

wobei

fHV

Anpassungsfaktor für Schwerlastfahrzeuge

%HV

Anteil der Schwerlastfahrzeuge für Fahrstreifengruppe in Prozent

ET

Äquivalenzfaktor Personenfahrzeug (2,0 / HV)

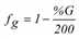
Schritt 6c: Anpassungsfaktor für Steigung der Zufahrt berechnen

wobei

fg

Anpassungsfaktor Steigung Zufahrt

%G

Steigung Zufahrt in Prozent (-6 % bis +10 %)

Im HCM 6. Auflage wurden die Anpassungsfaktoren für Schwerlastfahrzeuge und die Steigung der Zufahrt zusammengelegt. Bei den neuen kombinierten Anpassungsfaktoren wird unterschieden zwischen negativen Steigungen (Gefälle)

und nicht-negativen Steigungen (Ebene oder Steigung)

wobei

PHV

Anteil LKWs in der Fahrstreifengruppe (%)

Pg

Steigung der Zufahrt für die Fahrstreifengruppe (%)

Schritt 6d: Anpassungsfaktor Parken berechnen

fP errechnet sich folgendermaßen:

wobei

fP

Anpassungsfaktor Parken (1,0 wenn kein Parken, sonst ≥ 0,050)

N

Anzahl der Fahrstreifen in Fahrstreifengruppe

Nm

Anzahl der Parkmanöver pro Stunde (nur für Rechtsabbiegerfahrstreifengruppen) (0 bis 180)

In Visum geben Sie fP, das Ergebnis der Formel, direkt als Attribut ICA Park-Faktor am Knotenarm ein.

Schritt 6e: Anpassungsfaktor für Lage zum Stadtzentrum berechnen

fa = 0,9 für eine Strecke im Stadtzentrum (CBD), sonst 1,0

wobei

fa

Anpassungsfaktor für Lage

CBD

Bezeichnung für central business district

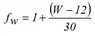
Schritt 6f: Anpassungsfaktor Blockierung durch Bushaltestelle berechnen

wobei

fbb

Anpassungsfaktor Blockierung durch Bushaltestelle (≥ 0,05)

N

Anzahl der Fahrstreifen in Fahrstreifengruppe

NB

Anzahl der Bushalte pro Stunde (gilt nicht für Linksabbiegerfahrstreifengruppen) (0 bis 250)

In Visum geben Sie fbb, das Ergebnis der Formel, direkt als Attribut ICA Busfrequenz am Knotenarm ein.

Schritt 6g: Anpassungsfaktor Fahrstreifennutzung berechnen

wobei

fLu

Anpassungsfaktor Fahrstreifennutzung

vg

nicht angepasste (Eingabe-)Belastung für Fahrstreifengruppe g

vgl

nicht angepasste (Eingabe-)Belastung für Fahrstreifen mit der höchsten Belastung in Fahrstreifengruppe (Fzg/h)

Für den Anpassungsfaktor wird eine im HCM definierte Tabelle verwendet (HCM 2000: Tabelle 10-23 auf Seite 10-26; HCM 2010: Tabelle 18-30 auf Seite 18-77). Alternativ können die Werte verwendet werden, die an Fahrstreifen eingestellt sind (ICA Nutzungsanteil und ICA Nutzungsanteil verwenden).

Schritt 6h: Anpassungsfaktor Rechtsabbieger berechnen

wobei

fRT

Anpassungsfaktor Rechtsabbieger (≥ 0,05)

PRT

Anteil der Rechtsabbieger für Fahrstreifengruppe

Im HCM 2010 erfolgt die Berechnung auf eine andere Weise. Der Anpassungsfaktor wird bei Mischfahrstreifen nicht mehr explizit ermittelt. Eine Beschreibung befindet sich im HCM 2010 auf Seite 18-38.

Schritt 6i: Anpassungsfaktor Linksabbieger berechnen

Der Anpassungsfaktor für Linksabbieger ist der komplexeste der Faktoren. Hier unterscheiden sich das HCM 2000 und das HCM 2010 deutlich. Die Beschreibung im HCM 2010 befindet sich auf Seite 18-38 und den Seiten 31-30 bis 31-37. Ab dem HCM 7. Auflage wird für die Berechnung der Anteil der autonomen Fahrzeuge berücksichtigt. Die entsprechenden Faktoren für gesicherte und bedingt-verträgliche Linksabbieger finden sich in den Exhibits 31-65 und 31-66 dieser Ausgabe.

Die Berechnung ist einfach, wenn die Linksabbieger in ihrer Phase voll gesichert freigegeben werden. Bei bedingt-verträglichen Abbiegern ist die Gleichung jedoch ziemlich komplex. Sie lautet folgendermaßen:

wobei

fLT

Linksabbiegeranpassungsfaktor

PLT

Anteil der Linksabbieger für Fahrstreifengruppe

Bei einer Phaseneinteilung mit bedingt-verträglicher Führung werden 5 Fälle unterschieden. Bei einer gesicherten plus bedingt-verträglichen Führung oder einer bedingt-verträglichen plus gesicherten Führung teilt sich die Analyse in den gesicherten Anteil und den bedingt-verträglichen Anteil. Beide werden separat analysiert und anschließend kombiniert. Im Wesentlichen werden sie wie zwei separate Fahrstreifengruppen behandelt. Im HCM wird beschrieben, wie die effektiven Grünzeiten unter den gesicherten und bedingt-verträglichen Anteilen aufgeteilt werden.

1.  Separater Abbiegerfahrstreifen mit bedingt-verträglicher Führung – unten aufgeführte generelle Gleichung verwenden

2.  Separater Abbiegerfahrstreifen mit gesicherter plus bedingt-verträglicher Führung – 0,95 für den gesicherten Anteil und generelle Gleichung verwenden

3.  Gemeinsam genutzter Fahrstreifen (Mischfahrstreifen) mit bedingt-verträglicher Führung – generelle Gleichung unten verwenden

4.  Gemeinsam genutzter Fahrstreifen (Mischfahrstreifen) mit gesicherter plus bedingt-verträglicher Führung – obige Gleichung für den Anteil mit gesicherter Führung der gemeinsam genutzten Fahrstreifen sowie generelle Gleichung unten für den bedingt-verträglichen Anteil verwenden

5.  Einstreifige Zufahrt mit bedingt-verträglichen Linksabbiegern – generelle Gleichung unten verwenden

Die allgemeine Gleichung zur Berechnung von fLT für bedingt-verträgliche Linksabbieger ist nachfolgend dargestellt. Im HCM 2000 wird diese Gleichung für Fallunterscheidungen zwischen gemeinsam genutzten/separaten Fahrstreifen, mehrspurigen/einspurigen Zufahrten etc. leicht abgewandelt, doch folgen alle diese Gleichungen demselben prinzipiellen Ansatz. Die hier gezeigte Gleichung gilt für einen separaten Linksabbiegerfahrstreifen mit bedingt-verträglicher Führung auf einer mehrspurigen Zufahrt, wobei der Gegenstrom ebenfalls mehrspurig ist.

Die Gleichung besteht im Wesentlichen aus dem Prozentanteil der Zeit, in der Linksabbieger abbiegen können, multipliziert mit einem Anpassungsfaktor. Der Anpassungsfaktor basiert auf dem Anteil der Linksabbieger in der Fahrstreifengruppe und einem gleichwertigen Faktor für die Zeit der Akzeptanz von Zeitlücken, die auf dem Verkehrsaufkommen des Gegenverkehrs beruht. Die Berechnung des Anteils der Zeit, in der Linksabbieger abbiegen können, ist eine Funktion des Verkehrsaufkommens des Gegenverkehrs und ihrer Grünzeit. Die Gleichung lautet wie folgt.

fLTmin = 2 • (1 + PL) / g

gu = g - gq (wenn gq ≥ 0, sonst gu = g)

wobei

fLT

Allgemeiner Anpassungsfaktor für Linksabbieger

fLTmin

Minimalwert für Anpassungsfaktor

g

Effektive ungeschützte Grünzeit für Fahrstreifengruppe des Linksabbiegers

gu

Effektive ungeschützte Grünzeit, während der Linksabbieger einen Konfliktstrom queren müssen

PL

Anteil Linksabbieger auf dem Fahrstreifen L

EL1

Geradeaus-Äquivalent für ungeschützte Linksabbieger (veh/hr/lane) (Nachschlagewert abhängig von Stärke des Konfliktstroms)

gq

Effektive ungeschützte Grünzeit, während der Linksabbieger komplett blockiert sind und der Rückstau des Konfliktstroms abgebaut wird

go

Effektive Grünzeit für Konfliktstrom

N

Anzahl Fahrstreifen in Fahrstreifengruppe

volc

Korrigierter Konfliktstrom pro Fahrstreifen pro Umlauf =

No

Anzahl Fahrstreifen in Konfliktstrom-Fahrstreifengruppe

vo

Korrigierter Konfliktstrom

fLUo

Fahrstreifennutzungsfaktor für Konfliktstrom

qro

Stauverhältnis für Konfliktstrom = max[1 - Rpo • (go / C), 0] (Rpo = Nachschlagewert abhängig von ArrivalType)

tl

Verlustzeit für Fahrstreifengruppe des Linksabbiegers

Das Verkehrsaufkommen des Gegenverkehrs berechnet sich aus den Signalgruppen, die gleichzeitig mit der betrachteten Fahrstreifengruppe frei gegeben werden. Hierbei zählt jeweils das gesamte Aufkommen eines Gegenstroms mit, auch wenn sich die Freigabezeiten nur teilweise überlappen.

Die Berechnung für bedingt-verträgliche Links-Fahrtbeziehungen muss nicht auf Knoten mit mehr als vier Armen verallgemeinert werden, da für jeden bedingt-verträglichen Linksabbieger höchstens eine Gegenverkehrszufahrt erlaubt ist. Ist mehr als eine Gegenverkehrszufahrt angegeben, wird ein Fehler protokolliert.

Schritt 6j: Anpassungsfaktor Fußgänger für Links- und Rechtsabbieger berechnen

Die Ermittlung der Links- und Rechtsabbiegerfaktoren für Fußgänger und Radfahrer ist eine relativ komplexe Operation. Sie erfolgt in vier Schritten. Zur Berechnung wird die Radfahrer-Belastung an den Armen und die Fußgänger-Belastung an den Furten herangezogen. Ein Fahrzeugstrom hat mögliche Konflikte mit zwei Furten am Ausgangsarm. Diese beiden Furten verlaufen in entgegengesetzten Richtungen.

Hinweis: Liegt an einem Arm eine Dreiecksinsel vor, gibt es keine Konflikte zwischen Rechtsabbiegern und Fußgängern.

Schritt 1: Ermittlung des Fußgänger-Besetzungsgrades OCCpedg.

Der Fußgänger-Besetzungsgrad OCCpedg wird aus der Belastung abgeleitet. Es gilt

Hier ist vpedg die Fußgänger-Flussrate, v1pedg und v2pedg die Fußgänger-Belastungen der Furten, C die Umlaufzeit der LSA und g1p und g2p die Gründauer für die Fußgänger.

Hinweis: Im HCM2000 wird implizit angenommen, dass die Grünphase der Linksabbieger gleichzeitig mit der Grünphase der Fußgänger beginnt. In Visum ist dies jedoch nicht gegeben. In Visum wird daher folgende Fallunterscheidung gemacht: Wenn die Fußgänger-Grünphase sich mit der Grün- oder Gelbphase der Fahrzeuge überschneidet (oder sie berührt), wird angenommen, dass ein Konflikt besteht. In diesem Fall wird die Gründauer der Fußgänger-Signalgruppe voll angerechnet. Andernfalls wird angenommen, dass kein Konflikt besteht. In diesem Fall wird gp = 0 angenommen.

Schritt 2: Ermittlung des relevanten Besetzungsgrads des Konfliktbereichs OCCr

Hier werden drei Fälle unterschieden:

  • Fall 1: Rechtsabbieger ohne Radfahrer-Konflikte oder Linksabbieger aus Einbahnstraßen

In diesem Fall gilt

OCCr = OCCpedg

Das Entscheidende bei Linksabbiegern aus Einbahnstraßen ist, dass es keinen Fahrzeug-Gegenstrom gibt.

  • Fall 2: Rechtsabbieger mit Radfahrer-Konflikten

Hier wird angenommen, dass es Radfahrer gibt, die geradeaus fahren.

OCCbicg = 0.02 + vbicg / 2700

OCCr = OCCpedg + OCCbicg - (OCCpedg)•(OCCbicg)

Hier ist vbicg die Radfahrer-Flussrate, vbic die Radfahrer-Belastung, C die Umlaufzeit der LSA, g die effektive Grünzeit der Fahrstreifengruppe und OCCbicg der Besetzungsgrad des Konfliktbereichs durch Radfahrer.

  • Fall 3: Sonstige Linksabbieger

Hier handelt es sich um Linksabbieger, die nicht aus einer Einbahnstraße kommen. Hier wird eine Fallunterscheidung gemacht, die die Werte gq und gp betrifft. Bei gq handelt es sich um die Räumzeit der Fahrzeugschlange am gegenüberliegenden Arm, bei gp um die Gründauer der konfligierenden Fußgänger. Es gilt

gp = max(g1p, g2p)

  • Fall 3a: gqgp

In diesem Fall wird die Berechnung abgekürzt und es gilt

fLpb = 1.0

Hier spielen Fußgänger und Radfahrer keine Rolle, weil die Linksabbieger darauf warten müssen, dass sich die Fahrzeugschlange am gegenüberliegenden Arm abbaut.

  • Fall 3b: gq < gp

Es gilt:

Hier ist OCCpedu der Besetzungsgrad der Fußgänger, nachdem die Fahrzeugschlange am gegenüberliegenden Arm abgebaut ist, und OCCpedg der Fußgänger-Besetzungsgrad.

Schritt 3: Ermittlung des Fußgänger- und Radfahrer-Anpassungsfaktors für bedingt-verträgliche Abbieger ApbT

Hier werden zwei Fälle unterschieden, welche die Werte Nturn – die Anzahl der Fahrstreifen des Abbiegers – und Nrec – die Anzahl der Fahrstreifen am Zielarm – betrifft.

  • Fall 1: Nrec = Nturn

Hier gilt ApbT = 1 - OCCr

  • Fall 2: Nrec > Nturn

Hier haben die Fahrzeuge die Möglichkeit, Fußgängern und Radfahrern auszuweichen. Es gilt:

ApbT = 1 - 0.6 • OCCr

Schritt 4: Ermittlung der Anpassungsfaktoren für die Sättigungsverkehrsstärke für Fußgänger und Radfahrer fLpb und fRpb.

Bei fLpb handelt es sich um den Anpassungsfaktor für Linksabbieger, bei fRpb um den Anpassungsfaktor für Rechtsabbieger. Es gilt:

fRpb = 1 - PRT • (1 - ApbT) • (1 - PRTA)

fLpb = 1 - PLT • (1 - ApbT) • (1 - PLTA)

Bei PRT und PLT handelt es sich hier um den Anteil von Rechts- und Linksabbiegern der Fahrstreifengruppe, bei PRTA und PLTA um den verträglichen Anteil von Rechts- und Linksabbiegern (jeweils bezogen auf die Gesamtzahl der Rechts- und Linksabbieger der Fahrstreifengruppe).

Schritt 6k: Anpassungsfaktor für die Präsenz von Baustellen berechnen

Der Anpassungsfaktor für die Präsenz von Baustellen kommt erst mit dem HCM 6. Auflage zur Anwendung. Er berücksichtigt die Lage von Baustellen an Zufahrten zu Knotenpunkten. Eine Baustelle liegt an der Zufahrt, wenn sie bis zu einer Entfernung von 250ft von der Haltelinie entfernt ist.

Der Anpassungsfaktor kann durch die folgenden Gleichungen berechnet werden:

≤ 1.0

mit

wobei

fWZ

Anpassungsfaktor für Baustellen an Zufahrten

fwid

Anpassungsfaktor für Zufahrtsweite

freduce

Anpassungsfaktor für das Reduzieren von Fahrstreifen während Vorhandensein der Baustelle

aw

Fahrstreifenbreite der Zufahrt während Vorhandensein der Baustelle

no

Anzahl geöffneter Links- und Geradeausfahrstreifen unter normalen Bedingungen

nwz

Anzahl geöffneter Links- und Geradeausfahrstreifen während Vorhandensein der Baustelle