Kreisverkehre nach der Methode des HCM

Die Analysemethode ist im HCM 2010 in den Kapiteln 21 und 33 beschrieben, im HCM 6. Auflage bzw. HCM 7. Auflage in den Kapiteln 22 und 33. Änderungen im HCM 6. Auflage beziehen sich im Wesentlichen auf die Faktoren zur Berechnung der Kapazität. Im HCM 7. Auflage kommt zusätzlich die Berücksichtigung der Anteile autonomer Fahrzeuge am Knoten bei der Berechnung der Kapazität hinzu. Die Methode für Kreisverkehre ähnelt derjenigen für vorfahrtsgeregelte Knotenpunkte und unterscheidet sich davon hauptsächlich in folgenden Punkten:

  • Die Ermittlung der Konfliktströme folgt der Geometrie des Kreisverkehrs.
  • Die Standardwerte für Zeitlücken unterscheiden sich durch die veränderten Sichtverhältnisse. Die Ermittlung erfolgt hier auch auf Basis von Fahrstreifen, nicht auf Basis von Abbiegern.
  • Die Methode ist nur für ein- und zweistreifige Zufahrten (plus einen optionalen Bypass-Fahrstreifen) verfügbar. Die Visum-Methode für drei- oder mehrstreifige Zufahrten ist im HCM nicht beschrieben. Die Belastungsaufteilung auf die Fahrstreifen erfolgt in Visum wie bei vorfahrtsgeregelten Knotenpunkten.

Der Ablauf der Berechnung ist in Abbildung 77 dargestellt.

Abbildung 77: Ablauf der Berechnung bei Kreisverkehren nach HCM 2010

Wenn Sie das HCM 2010 Operationsmodell auf Kreisverkehrs-Knoten anwenden, wirken sich die in Tabelle 116 gezeigten Visum-Attribute aus. Stellen Sie sicher, dass realistische Werte für die Attribute definiert sind, ehe die Analyse gestartet wird.

Netzobjekte

Attribut

Beschreibung / Auswirkung

Geometrie

alle

Geometrieinformationen zu Fahrstreifen, Fahrstreifenabbiegern und Furten

Knoten

ICAAnteilCAVs

Optionale Berücksichtigung des Anteils autonomer Fahrzeuge. Der Wertebereich liegt zwischen 0 und 100%. Das Attribut wird für die Berechnung der Kapazität ab HCM 7. Auflage berücksichtigt.

Knoten

ICAPHFVolAdj

Anpassungsfaktor der anfänglichen Belastung an die Spitzenbelastung. Belastungen werden sowohl durch den Knoten- als auch die Abbiegeranpassungsfaktoren geteilt.

Abbieger

ICAPHFVolAdj

Arm Hat Mittelinsel

Zeigt an, ob der Arm eine Mittelinsel hat (ja/nein)

Arm

Mittelinsel-Länge

Länge der Mittelinsel

Arm

Mittelinsel-Breite

Breite der Mittelinsel

Arm

Dreiecksinsel-Länge

Länge der Dreiecksinsel

Arm

Hat Fahrbahnteiler

Zeigt an, ob der Arm einen Fahrbahnteiler hat (ja/nein)

Arm

Fahrbahnteiler Länge

Länge des Fahrbahnteilers

Hinweis

Der eingegebene Wert wird genutzt, wenn das Attribut Hat Fahrbahnteiler aktiviert ist.

Arm

Fahrbahnteiler Breite

Breite des Fahrbahnteilers

Hinweis

Der eingegebene Wert wird genutzt, wenn das Attribut Hat Fahrbahnteiler aktiviert ist.

Arm

Hat Bypass

Zeigt an, ob der Arm einen Bypass hat (ja/nein)

Arm

ICA Anteil Bypass Belastung

Anteil der Rechtsabbieger (Linksverkehr: Linksabbieger), die zum Abbiegen einen Bypass-Fahrstreifen verwenden.

Hinweis

Dieser Anteil wird genutzt, wenn das Attribut Hat Bypass aktiviert ist.

Arm

Anzahl der Konfliktfahrstreifen

Anzahl der Konfliktfahrstreifen im Kreisverkehr für den eingehenden Arm

Hinweis

Im HCM werden nur ein- und zweistreifige Kreisverkehre unterschieden.

Fahrstreifen

ICA Eingestellte Grenzzeitlücke

Wert der gewünschten Grenzzeitlücke

Fahrstreifen

ICA Eingestellte Grenzzeitlücke verwenden

Optional können Sie die Grenzzeitlücke überschreiben, genutzt in Schritt 5. Der analoge Wert am Abbieger wird nicht verwendet.

Bei aktivierter Option wird der unter Eingestellte Grenzzeitlücke angegebene Wert verwendet.

Fahrstreifen

ICA Eingestellte Folgezeitlücke

Wert der gewünschten Folgezeitlücke

Fahrstreifen

ICA Eingestellte Folgezeitlücke verwenden

Optional können Sie die Folgezeitlücke überschreiben, genutzt in Schritt 6. Der analoge Wert am Abbieger wird nicht verwendet.

Bei aktivierter Option wird der unter Eingestellte Folgezeitlücke angegebene Wert verwendet.

Tabelle 116: Eingabe-Attribute für Kreisverkehrs-Knoten nach HCM 2010

Die Ausgabe ist über die gleichen Attribute verfügbar wie bei signalisierten Knoten (Tabelle 101).

Die Berechnungsmethode im HCM 2010 besteht aus zwölf aufeinanderfolgenden Schritten. Die Beschreibung hier ist auf die wichtigsten Schritte verkürzt.

Schritt 1: Verkehrsstärken (Belastungen) für jeden Abbieger berechnen

Die in Pkw-Einheiten gegebenen Abbiegerbelastungen werden durch Multiplikation mit den Peak-Hour-Faktoren des Abbiegers und des Knotens in Werte für die 15-Minuten-Spitze umgerechnet.

Schritt 2: Berechnung der Zuflüsse pro Fahrstreifen und Konfliktströme für jede Zufahrt

Alle Berechnungen basieren auf den Zuflüssen und Konfliktströmen an jeder Zufahrt. Diese Ströme werden aus den Abbiegerbelastungen (in Abbildung 78 für einen Kreisverkehr mit vier Zufahrten mit v1 bis v12 bezeichnet) gewonnen.

Abbildung 78: Zuflüsse an einem vierarmigen Kreisverkehr

Die Aufteilung der Belastungen auf Fahrstreifen kann dem HCM 2010 auf den Seiten 21-14 und 21-15 entnommen werden.

Beispiel

Der Zufluss aus Richtung Süden ist die Summe der Abbiegerbelastungen v7 + v8 + v9. Der für diesen Zufluss geltende Konfliktstrom ist dagegen die Summe v1 + v2 + v10. Die Methodik kann auf Kreisverkehre mit beliebig vielen Zufahrten angewendet werden. Auch U-Turns lassen sich auf gleiche Weise berücksichtigen, wenn Sie sie in die ICA-Berechnung einbeziehen möchten.

Falls eine Zufahrt mehr als einen Fahrstreifen besitzt, wird der Gesamtzufluss auf Fahrstreifen verteilt.

1.  Falls nur ein Fahrstreifen für Linksabbieger zugelassen ist, ist seine Belastung die Summe aller Belastungen von Linksabbiegern.

2.  Falls nur ein Fahrstreifen für Rechtsabbieger zugelassen ist, ist seine Belastung die Summe aller Belastungen von Rechtsabbiegern.

3.  Die verbleibende Belastung wird so auf alle Fahrstreifen aufgeteilt, dass sie möglichst gleiche Belastungen aufweisen.

Schritt 4: Kapazität

Die Kapazität jedes Fahrstreifens wird allen Abbiegern zugeordnet, für die Fahrstreifenabbieger von dem Fahrstreifen ausgehend definiert sind. Das Ergebnis wird in PkwE/h im Abbieger-Attribut ICA Endgültige Kapazität gespeichert.

Für alle Fälle sind feste Formeln vorgegeben (HCM 2010, Gleichungen 21-1 bis 21-7). Die Grundformel lautet:

Bei ein- und zweistreifigen Zufahrten in einstreifige Kreisverkehre nimmt B hier den Wert 0,001 an, bei einstreifigen Zufahrten in zweistreifige Kreisverkehre den Wert 0,0007. Bei zweistreifigen Zufahrten in zweistreifige Kreisverkehre nimmt B auf dem inneren (linken) Fahrstreifen den Wert 0,00075 an, auf dem rechten den Wert 0,0007. Bei einem Bypass-Fahrstreifen mit einem konfligierenden Ausfahrts-Fahrstreifen wird der Wert 0,001 angenommen, bei zwei konfligierenden Ausfahrts-Fahrstreifen der Wert 0,0007.

Im HCM 6. Auflage wurden die Faktoren wie in den folgenden Formeln ausgewiesen angepasst:

für einstreifige Zufahrt in einen einstreifigen Kreisverkehr

für zweistreifige Zufahrt in einen einstreifigen Kreisverkehr

für einstreifige Zufahrt in einen zweistreifigen Kreisverkehr

rechter Fahrstreifen einer zweistreifige Zufahrt in einen zweistreifigen Kreisverkehr

linker Fahrstreifen einer zweistreifige Zufahrt in einen zweistreifigen Kreisverkehr

für einen Bypass-Fahrstreifen mit einem konfligierenden Ausfahrts-Fahrstreifen

für einen Bypass-Fahrstreifen mit zwei konfligierenden Ausfahrts-Fahrstreifen

Die Formeln entsprechen den Gleichungen 22-1 bis 22-7 im HCM 6. Auflage.

Im HCM 7. Auflage wird zusätzlich der Anteil autonomer Fahrzeuge berücksichtigt (siehe dazu die Gleichungen 33-1 bzw. 33-2 und die Exhibits 33-12 und 33-13).

Bei der Berechnung der Kapazität wird berücksichtigt, ob die standardmäßigen Grenz- und/oder Folgezeitlücken durch die entsprechenden Visum-Attribute verändert wurden. Grenz- und Folgezeitlücken werden beim Steuerungstyp Kreisverkehr an den Fahrstreifen angegeben. Die gleichnamigen Werte an den Abbiegern sind hier nicht wirksam. Die Kapazität ergibt sich bei der erweiterten Berechnung aus folgenden Werten (HCM 2010, Seite 33-3):

Je nach veränderten Werten für die Grenz- und/oder Folgezeitlücken werden andere Werte für A und B berücksichtigt. Ist das Attribut ICA Eingestellte Folgezeitlücke verwenden aktiv, erfolgt die Berechnung von A nach Kapitel 33 des HCM 2010. Diese Berechnung entspricht Gleichung 21-22:

Andernfalls wird der Wert A nach dem ersten Teil im Kapitel 21 des HCM2010 bestimmt. Das bedeutet, dass die Standardwerte für die Folgezeitlücke aus Kapitel 33 niemals für A verwendet werden.

Ist das Attribut ICA Eingestellte Grenzzeitlücke verwenden gesetzt, werden für B die Werte der Folgelücken aus Kapitel 33 verwendet, es sei denn, die Folgezeitlücke wird ebenfalls überschrieben. Im letzteren Fall wird dann der überschriebene Wert verwendet.

wobei

c

Kapazität in PkwE/h

v

Konfliktstrom in PkwE/h

gapc

Grenzzeitlücke in s

gapf

Folgezeitlücke in s

Als Standardwerte verwendet Visum 4 s für die Grenzzeitlücke und 3 s für die Folgezeitlücke. Sie können beide Werte optional pro Fahrstreifen überschreiben.

Fußgänger haben einen Einfluss auf die Kapazität. Eine genaue Beschreibung ist im HCM 2010 auf den Seiten 21-16 und 21-17 zu finden.

Die Kapazität jedes Fahrstreifens wird allen Abbiegern zugeordnet, für die Fahrstreifenabbieger von dem Fahrstreifen ausgehend definiert sind. Das Ergebnis wird in PkwE/h im Abbieger-Attribut ICA Endgültige Kapazität gespeichert.

Schritt 5: Wartezeiten

Die durchschnittliche Wartezeit auf einem Fahrstreifen einer Zufahrt ergibt sich aus folgenden Werten:

d

durchschnittliche Wartezeit in s/PkwE

c

Kapazität des Fahrstreifens in PkwE/h

v

Belastung des Fahrstreifens in PkwE/h

T

Betrachtungszeitraum in h

Die durchschnittliche Wartezeit eines Abbiegers ist das belastungsgewichtete Mittel der durchschnittlichen Wartezeiten der benutzten Fahrstreifen. Das Ergebnis wird im Abbieger-Attribut tAkt gespeichert.

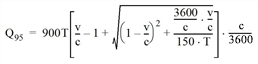
Schritt 6: Staulängen

Die Staulänge auf einem Fahrstreifen einer Zufahrt ergibt sich aus folgenden Werten:

wobei

Q95

95%-Perzentil der Staulänge in PkwE

c

Kapazität des Fahrstreifens in PkwE/h

v

Belastung des Fahrstreifens in PkwE/h

T

Betrachtungszeitraum in h

Das Attribut ICA Perzentil der Staulänge ist das Maximum der Q95-Perzentile für die benutzten Fahrtstreifen.

Schritt 7: Level of Service (ICA LOS)

LOS pro Fahrstreifen einer Zufahrt ist als Klassifikation der durchschnittlichen Wartezeit definiert (Tabelle 117).

Tabelle 117: LOS pro Fahrstreifen in Abhängigkeit von der durchschnittlichen Wartezeit

LOS

Durchschnittl. Wartezeit [s / PkwE]

A

0 - 10

B

>10 - 15

C

>15 - 25

D

>25 - 35

E

>35 - 50

F

>50

Das HCM macht keine Aussage zur Berechnung von LOS pro Zufahrt, Abbieger oder Knoten. Visum berechnet den LOS in diesen Fällen auf der Basis der belastungsgewichteten durchschnittlichen Wartezeit. Ist die Belastung größer als die Kapazität, wird das LOS automatisch auf F gesetzt.