Agréger les éléments d’une matrice
La fonction regroupe plusieurs éléments d’une matrice en un ou plusieurs nouveaux éléments. L’agrégation permet de renommer des zones et/ou de les regrouper en unités plus grandes (par exemple des quartiers de ville). L’agrégation modifie le nombre de lignes et de colonnes de la matrice.
Les nouvelles valeurs de matrice sont calculées au moyen de l’une des formules suivantes.
|
Moyenne arithmétique |
|
|
Moyenne pondérée |
|
avec
|
qi |
Valeur de matrice pour la i-ème zone |
|
gi |
Pondération pour la i-ème zone |
|
n |
Nombre de colonnes ou de lignes |
Exemple pour l’agrégation d’éléments d’une matrice
Les valeurs de matrice de la matrice suivante sont agrégées.
Assignations de zones et configuration :
- La zone 10 est supprimée de la matrice
- Les zones 20 et 30 sont regroupées en une nouvelle zone 39
- La fonction d’agrégation utilisée est la moyenne pondérée
- Les valeurs de matrice sont pondérées au moyen de la matrice suivante
- Les zones d’origine et de destination de la matrice sont agrégées
- Les valeurs de matrice de la matrice d’entrée sont utilisées
On obtient la matrice suivante.
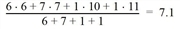
Les valeurs de matrice pour la zone de destination 39 ont été calculées comme suit :
|
Nota : Si vous agrégez une matrice filtrée, seules les valeurs filtrées sont agrégées. |