Fonctionnalité de tracé élastique pour la distribution des déplacements
La fonctionnalité de tracé élastique a été implémentée pour apporter plus de réalisme aux choix de destination et de mode le long d’une chaîne d’activités. L’idée développée ici est que le choix de destination de toutes les activités est opéré en fonction de l’activité principale, ceci permettant de déterminer des chaînes de chemins plus cohérentes. Le choix modal est opéré sur la base de l’activité principale et non en fonction de la première activité de destination.
Le lieu de domicile ou de l’activité principale de la chaîne (p. ex lieu de travail) est pris en considération en plus du lieu de l’activité d’origine dans la distribution / le choix modal combinés dans le choix de destination pour une transition d’activités. Le temps généralisé n’est pas considéré de façon isolée d’une activité à l’autre, mais comme la somme des temps généralisés depuis le domicile des usagés via une activité secondaire vers l’activité principale. Un paramètre de mise à l’échelle devant être défini w détermine ici l’importance de la pondération des temps généralisés des chemins partiels les uns par rapport aux autres entre l’activité secondaire et l’activité principale.
Il est possible de définir l’activité principale en fixant le rang. Le rang est un attribut de l’activité. Plus le nombre est petit, plus le rang est élevé (et plus l’activité est importante). L’activité principale correspond à celle possédant le rang le plus élevé au sein de la chaîne d’activités. Si plusieurs activités possèdent le plus haut rang, la première activité stipule le rang de l’activité principale.
Le tracé élastique intervient uniquement lorsque la chaîne d’activités hors du domicile des usagers se compose d’au moins deux activités. La chaîne Domicile-Travail-Domicile (DTD) est calculée en revanche directement sans tracé élastique. La définition de l’activité principale est d’une importance majeure. Elle détermine l’endroit où la pondération est fixée.
Le calcul est illustré par un exemple dans ce qui suit.
À titre d’exemple, prenons une chaîne d’activités composée des activités Domicile-Achats-Travail-Domicile (DATD). L’activité principale est ici le travail.
L’image du haut présente la situation des lieux d’activité ainsi que les temps généralisés entre les activités. Le trafic émis s’élève à 100 personnes. Les potentiels de destination correspondent à 50 tant pour les lieux de travail que pour les possibilités d’achats.
Ainsi s’appliquent les points suivants :
Pour le calcul du choix de destination, prenons une fonction Logit avec c = 1, c.-à-d. f(u)= e-u. Sans tracé élastique, seule la transition d’activités D-A est étudiée lors du choix de destination pour l’activité Achats. Comme l’utilité pour A1 et A2 du lieu de résidence est identique, à savoir 1,5, respectivement 50 personnes sélectionnent E1 et A2 lors du calcul sans tracé élastique. Ce faisant, il n’est pas tenu compte du fait que, pour les personnes travaillant en T2, il est moins cher de faire ses achats en A2, car l’utilité (temps généralisé) de A2 vers T2 est égale à 1, l’utilité de A1 vers T2 étant égale à 2,5.
Lors du calcul avec tracé élastique, le choix de destination est d’abord calculé pour l’activité principale. Ceci s’applique aussi quand, suivant l’exemple, l’activité principale n’est pas la première activité et s’il n’existe pas de transition d’activités directe D-T. Le même principe s’applique au choix modal qui se rapporte à la transition d’activités de l’activité de domicile à l’activité principale.
Étape 1 : Choix de destination D->T
Le nombre de déplacements du domicile au travail s’élève ainsi à
et 
Différents chemins sont toutefois contenus ici : une partie des chemins passe par A1, et la deuxième partie des chemins passe par A2. Étant donné qu’aucun chemin individuel n’est encore encore disponible ici, mais uniquement la répartition du potentiel d’origine de 100 personnes sur le potentiel d’origine par zone pour l’activité principale Travail, nous désignons la nouvelle matrice ED→T également potentiel d’origine relatif à la destination.
La répartition exacte dans des chemins individuels, c.-à-d. le choix du lieu d’achats des personnes en fonction du choix du lieu de travail, est calculée au cours de la prochaine étape.
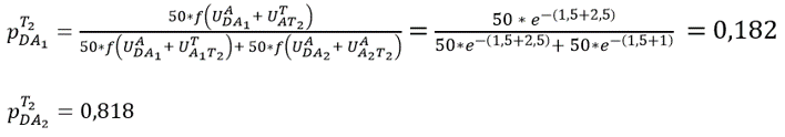
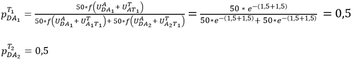
Étape 2 : Choix de destination D->A
Comme le lieu d’achats est choisi en fonction du choix de destination de l’activité principale, le choix du lieu d’achats est effectué séparément pour les lieux de travail en T1 et T2. L’utilité
est remplacée par
. Le coefficient w détermine l’extension du tracé élastique, à savoir l’importance de l’influence exercée entre l’activité secondaire et l’activité principale. Dans cet exemple, w = 1. Ceci correspond au cas où la pondération est égale entre les deux chemins partiels.
Les points suivants s’appliquent aux personnes ayant un lieu de travail en T1 :
Les personnes qui travaillent en T1, circulent ainsi à probabilité égale vers A1 et A2 pour leurs achats.
De même pour les personnes ayant un lieu de travail en T2 :
Comme A2 est sensiblement plus proche de T2 que A1, un nombre considérablement plus élevé de personnes travaillant dans T2 se rendent en A2 pour effectuer leurs achats.
Ceci permet de calculer les déplacements du domicile vers A1 et A2.
Étape 3 : Choix de destination A->T
Le choix de destination pour l’activité Travail a déjà été effectué au cours de l’Étape 1. Seules les combinaisons de chemin restent donc à multiplier.
En la présence de plusieurs lieux de résidence, les chemins doivent être cumulés en plus.
Étape 4 : Choix de destination T->D
Chaque personne revenant à son domicile, aucun choix de destination n’est opéré à ce stade. La matrice de chemins correspond simplement à la matrice ED→T transposée de l’Étape 1, à savoir
Les chaînes de chemins avec des charges sont représentées dans l’image suivante.
Certaines particularités s’appliquent aux cas présentant davantage d’activités que dans l’exemple ci-dessus. La définition de l’activité principale revêt ici une importance majeure.
1. Si l’on étend la chaîne d’activités dans l’exemple à l’activité B (pour boulangerie) dans la forme DBATD, l’activité Achats est ignorée dans un premier temps dans le calcul des chemins FD→B. La chaîne déterminante est ainsi DBT. Tout d’abord, le volume émis ED→T et la matrice de chemins FD→B sont calculés conformément à l’exemple. L’addition nous permet d’obtenir un volume émis relatif à la destination de l’activité B provenant de EB→T au cours de l’étape suivante. Nous considérons maintenant le reste de la chaîne jusqu’à l’activité principale, donc BAT. Nous calculons le choix de destination B→A comme dans l’Étape 2 : pour chaque zone de destination k pour l’activité principale T, nous remplaçons l’utilité pour le choix de destination A, donc
par
.
2. Si une autre activité existe entre l’activité principale et le lieu de résidence (donc à peu de choses près DTAD), le calcul entre T et D se rapporte à un temps généralisé total entre T et D. Pour une zone de destination fixe k pour D, on remplace
par
pour le choix de destination de A.
Le paramètre de mise à l’échelle w définit le degré de pondération des temps généralisés des chemins partiels entre l’activité secondaire et l’activité principale par rapport à l’autre chemin partiel. Une valeur de w = 1 signifie que les deux chemins partiels sont pondérés à part égale. La plage de valeurs 0,5 ≤ w ≤ 2 est recommandée. Une valeur de 0 correspond à un calcul sans tracé élastique. Si l’on sélectionnait une valeur très élevée pour w, le second chemin partiel obtiendrait une pondération disproportionnée. Le choix de destination de l’activité secondaire serait par conséquent très proche de l’activité principale.