Détermination de la cadence
Vous pouvez définir la cadence d’une ligne de trois manières différentes (Utilisation : Affectation selon la cadence : Onglet Base).
- à partir d’un attribut de profil de temps de parcours (la plupart du temps défini par l’utilisateur)
- à partir de la cadence moyenne conformément à l’horaire
- à partir du temps d’attente moyen conformément à l’horaire (configuration par défaut)
On peut utiliser chacune des trois méthodes séparément par intervalle de temps. Vous pouvez ainsi représenter une variation de l’offre de transport au sein de l’intervalle d’affectation, par exemple parce que l’affluence est supérieure pendant l’heure de pointe du matin.
À partir d’un attribut de profil de temps de parcours
Dans le cas le plus simple, vous spécifiez la cadence directement comme attribut du profil de temps de parcours respectif. La spécification d’un horaire est dans ce cas inutile. Un horaire existant est ignoré.
À partir de la cadence moyenne conformément à l’horaire
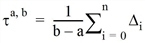
Visum peut également déterminer la cadence automatiquement à partir de l’horaire du profil de temps de parcours. Pour chaque intervalle de temps l = [a,b) compris dans l’intervalle d’affectation, le programme détermine le nombre n de départs qui lui reviennent. La cadence est calculée comme quotient :
Dans des réseaux avec des cadences rapprochées et des intervalles de temps suffisamment longs, cette approximation simple est acceptable. Généralement parlant, cette approche est néanmoins problématique pour deux raisons.
D’une part, la définition est trop sensible au décalage de départs individuels au-delà des limites de l’intervalle. Il en résulte des discontinuités dans le résultat. Ce problème survient toujours lorsque la cadence réelle d’une ligne n’est pas un diviseur de la durée de l’intervalle de la demande. Si on considère par exemple une ligne avec une cadence de 40 minutes et l’intervalle de temps l = [6:00,7:00), on obtient différentes cadences calculées en fonction de l’heure de départ concrète (Table 177).
D’autre part, cette approche ne permet pas de tenir compte du fait que des services répartis sur l’intervalle de temps représentent un temps d’attente en moyenne moindre pour le voyageur arrivant au hasard à l’arrêt par rapport à des services regroupés sur un laps de temps court. Pour cette raison, la troisième définition ci-après est utilisée comme configuration par défaut pour la procédure d’affectation selon la cadence.
À partir du temps d’attente moyen conformément à l’horaire
La cadence τa,b d’une ligne est définie comme le double du temps d’attente escompté du prochain départ de la ligne en cas d’accès aléatoire à l’arrêt dans l’intervalle de temps [a,b).
Soit Fl = {x1, x2, ..., xn} l’ensemble d’instants de départ de la ligne situés dans l’intervalle l = [a,b). On désigne par x‘ le premier départ après l’instant b. De plus, dans la mesure où un tel départ n’existe pas nécessairement ou peut être très tardif, on considère le départ fictif x‘‘ = x1 + (b-a) qui résulte du prolongement cyclique de l’horaire dans l. Pour le calcul du temps d’attente à la fin de l, on utilise donc le départ xn+1 = min{x‘,x‘‘}.
La cadence est alors définie de la manière suivante.
On a
,
et
pour les i ∈ {1, ..., n-1} restants. ∆i est le temps d’attente escompté respectif dans un intervalle partiel.
Si on considère de nouveau l’exemple avec la cadence de 40 minutes et l’intervalle l = [6:00,7:00), on obtient des résultats plus équilibrés.
Le calcul peut être expliqué brièvement à l’aide de la première ligne.
On a n = 1, x1 = 6:35 et x2 = 7:15.
Il s’ensuit que
et 
Il en résulte donc
minutes au total.
Cet exemple montre que les valeurs calculées dans le cas d’un décalage des heures de départ concrètes varient beaucoup moins qu’avec l’approche naïve
.