Coûts généralisés comme temps généralisé
Pour la recherche et le choix d’itinéraires (Recherche d’itinéraires et Choix d’itinéraires), les itinéraires sont évalués en fonction de leur temps ou de leur coût généralisé (Fonctions temps généralisé dans les TC). Ces derniers sont composés d’un temps de déplacement perçu TDP et d’une composante relative au tarif (tarif ou nombre de limites de section tarifaire).
TG = TDP • CoeffTDP + Nombre de limites de section tarifaire ou tarif • CoeffTarif
Temps de déplacement perçu (TDP)
Le temps de déplacement perçu TDP est exprimé en minutes et se compose des temps suivants :
TDP [min] =
Temps de transport en véhicule (TEV) • CoeffTEV • attribut de pondération du tracé de profil TP
+ TempsTCAux • CoeffTTCA
+ Temps de rabattement • CoeffTR
+ Temps d’accès à destination • CoeffTAX
+ Temps de marche à pied • CoeffTMàP
+ Temps d’attente au départ • CoeffTAD (le temps d’attente au départ étant calculé à l’aide d’une formule)
+ Temps d’attente en correspondance • CoeffTAC • attribut de pondération de la zone d’arrêt
+ Nombre de ruptures • CoeffNR
+ Supplément de montée TC (attribut de profil TP)
+ Supplément de montée TC-Aux (attribut de système de transport)
+ Retard moyen (attribut de tracé de profil TP)
Les temps de déplacement, coût etc. sont déterministes. Le temps d’attente au départ et le temps d’attente en correspondance découlent de la cadence de la ligne TC dans laquelle le voyageur monte à l’arrêt de départ ou de correspondance déterminée auparavant. Ils dépendent de manière aléatoire des positions temporelles relatives des lignes de correspondance entre elles dans le cadre de leur cadence (sauf en cas de coordination (Coordination)).
Afin de modéliser des effets d’occupation connus (par exemple place assise non assurée) ou d’autres aspects (par exemple confort) d’une ligne, vous pouvez multiplier le temps de transport en véhicule par n’importe quel attribut de tracé de profil de temps de parcours.
Vous pouvez tenir compte d’autres suppléments et coefficients de pondération individuels pour les montées et les correspondances à l’aide des données suivantes (Utilisation : Affectation selon la cadence : Onglet Tps gén.).
- Des coefficients de temps d’attente et suppléments pour le temps d’attente au départ à partir d’attributs de zone d’arrêt et/ou de profil de temps de parcours quelconques
- Un coefficient de temps d’attente pour le temps d’attente en correspondance à partir d’un attribut de zone d’arrêt quelconque
- Un supplément de montée à partir d’un attribut de profil de temps de parcours quelconque (pour lignes TC) ou d’un attribut de système de transport quelconque (pour systèmes de transport du type TCAux)
- Un retard moyen à partir d’un attribut d’élément de profil de temps de parcours quelconque
Avec les suppléments, vous pouvez par exemple modéliser que les voyageurs privilégient certaines lignes (en raison de leur plus grand confort de déplacement ou parce qu’elles sont généralement ponctuelles). Les coefficients de temps d’attente et les suppléments vous permettent d’exprimer que les voyageurs préfèrent s’attarder à certains arrêts plutôt qu’à d’autres.
Dans le cas du temps d’attente au départ, des coefficients de pondération relatifs au profil de temps de parcours vous permettent entre autres d’exprimer que les voyageurs connaissent l’horaire en cas de cadence faible et n’accèdent plus de manière aléatoire. Concrètement, vous pouvez par exemple limiter le temps d’attente au départ à un seuil maximum X en définissant le coefficient de pondération de temps d’attente au départ X / C pour tous les profils de temps de parcours avec une cadence C > X. Le coefficient de pondération 1 est alors appliqué pour tous les profils de temps de parcours avec une cadence C < X.
Il n’existe aucun temps d’attente dans le cas de l’utilisation de systèmes de transport TCAux, car l’offre est considérée comme disponible en permanence. Vous pouvez toutefois représenter un retard lors de la transition à l’aide de suppléments de montée pour les systèmes de transport du type TCAux.
Nombre de limites de section tarifaire
Le nombre de limites de section tarifaire Nb Lim sect tarif est le nombre total de limites de section tarifaires traversées le long du chemin. Les limites de section tarifaire peuvent être enregistrées soit selon les systèmes de transport sur des tronçons, soit pour les profils de temps de parcours. Dans le cas des profils de temps de parcours, il existe quatre attributs : limites de section tarifaire pour un élément de profil de temps de parcours, limites de section tarifaire pour la montée, pour le transit et pour la descente à un arrêt.
Tarif
Outre les limites de section tarifaires, vous pouvez aussi utiliser le tarif conformément au modèle de tarification Visum. Il n’existe aucune restriction en ce qui concerne le nombre de systèmes tarifaires et types de titres de transport et leur propriétés.
Contrairement à la variante selon les horaires, où le tarif du chemin entier est inclus dans le modèle de répartition en tant que composante du temps généralisé, le temps généralisé de l’affectation selon la cadence contient le total des tarifs des différents chemins partiels. Il existe donc une correspondance exacte avec le modèle de tarification réel lorsque les systèmes de tarification utilisés présentent la propriété « Tarif se rapporte à = chaque chemin partiel individuel », c.-à-d. lorsque le voyageur acquiert un nouveau titre de transport à chaque montée. Dans d’autres cas, en particulier dans le cas de tarifs dégressifs sur plusieurs chemins partiels, le total des tarifs utilisé dans le temps généralisé peut différer du tarif du chemin entier.
L’utilisation de tarifs dans le cadre de l’affectation selon la cadence est illustrée dans l’exemple ci-dessous.
La demande de A vers B s’élève à 100 déplacements. L’offre consiste en deux liaisons de bus alternatives. Le modèle comprend 5 zones tarifaires, on a sélectionné la tarification par zones comme structure tarifaire pour les titres de transport. La table montre le tarif en fonction du nombre de zones tarifaires utilisées.
|
Zones tarifaires |
Tarif (UM) |
|
1 |
3 |
|
2 |
5 |
|
>2 |
10 |
Exemple 1
Il existe une ligne continue Nord et une ligne continue Sud. La cadence des deux lignes de A vers B est de 10 minutes. La ligne du nord traverse deux zones tarifaires, le tarif appliqué dans la fonction temps généralisé s’élève à 5 UM. La ligne du sud traverse cinq zones tarifaires, le tarif s’élève à 10 UM. Avec une définition de temps généralisé de 1 • temps de déplacement + 2 • tarif, les charges sont identiques pour la lignes Nord et la ligne Sud.
|
|
Nord |
Sud |
|
Temps de déplacement [min] |
20 |
10 |
|
Zones tarifaires (-) |
2 |
5 |
|
Prix du titre de transport (UM) |
5 |
10 |
|
TG = 1• temps d’attente au départ+1• temps de déplacement+ 2• tarif |
aléatoire compris dans [0,10)+1• 20+2• 5 = aléatoire compris dans [30,40) |
aléatoire compris dans [0,10)+1• 10+2• 10 = aléatoire compris dans [30,40) |
|
Charge |
50 |
50 |
|
Nota : La dérivation de la répartition de la charge dans la procédure d’affectation selon la cadence est décrite dans une autre section du manuel (Exemple pour l’affectation selon la cadence). Comme les cadences et les parts de temps généralisé fixes des deux itinéraires sont identiques, il en résulte des charges identiques. |
Exemple 2
La variante Nord se compose maintenant de deux lignes distinctes avec coordination des correspondances et un temps de déplacement de 10 minutes chacune. On néglige les temps de transition tout comme un supplément de correspondance.
Comme les tarifs sont calculés par chemin partiel dans le calcul du temps généralisé de la procédure selon la cadence, on obtient un temps généralisé différent de celui du cas précédent : le tarif est de 5 UM (2 zones) pour la première section et de 3 UM (1 zone) pour la seconde section, soit un tarif total de 8 UM inclus dans le temps généralisé. La répartition de la charge change en conséquence :
|
|
Nord |
Sud |
|
TD (min) |
20 |
10 |
|
Zones tarifaires (-) |
2 |
5 |
|
Prix du titre de transport (UM) |
5+3 = 8 |
10 |
|
TG = 1*temps d’attente au départ+1*temps de déplacement+2*tarif |
aléatoire compris dans [0,10)+1• 20+2• 8 = aléatoire compris dans [36,46) |
aléatoire compris dans [0,10)+1• 10+2• 10 = aléatoire compris dans [30,40) |
|
Charge |
8 |
92 |
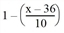
Explication relative à la répartition des charges : dans la plage de temps généralisé comprise entre 30 et 36, toutes les parts reviennent à la variante Sud. Dans la plage comprise entre 36 et 40, la probabilité s’élève à
. Ceci résulte en une probabilité de
pour la variante Sud.
La sommation des tarifs de chemins partiels dans le temps généralisé dans l’exemple 2 correspond à la situation dans laquelle il faut acquérir un nouveau titre de transport pour chaque chemin partiel. Si le tarif repose toutefois sur un autre système de tarification dans la réalité (parce que le voyageur peut effectuer son trajet avec un seul titre de transport), une imprécision en découle ici. On peut la compenser par des « remises de correspondance » : utilisez la fonction Tarifs de correspondance dans le modèle de tarification Visum pour définir des remises pour les changements de système de transport qui compensent le tarif calculé en trop. Dans cet exemple, il faudrait définir un tarif de correspondance de 5 UM - 8 UM = -3 UM pour corriger le tarif appliqué dans le temps généralisé.
|
Nota : La différence représentée consiste uniquement dans la prise en considération des tarifs dans la fonction temps généralisé. Le tarif appliqué par la suite est toujours le tarif réel et non le total des chemins partiels, ce qui vaut en particulier pour l’affichage dans des listes ainsi que pour le calcul d’indicateurs. Cela signifie que pour l’analyse d’une affectation, le tarif réel est affiché pour chaque chemin. |
La prise en considération de tarifs peut considérablement allonger le temps de calcul de l’affectation en fonction de la complexité du modèle de tarification. Si les tarifs utilisés dans le modèle sont principalement proportionnels (par exemple relatifs à la distance), nous recommandons d’utiliser les limites de section tarifaire.