Calcul de temps généralisés dépendant de l’occupation

Avec chacune des options, l’occupation Av sur l’élément de service v résulte de :

La capacité v correspond à la valeur de l’attribut spécifié par l’utilisateur pour la capacité de places assises d’un élément de service. La valeur appliquée par défaut préconfigurée calcule le total pour toutes les sections de service desservant l’élément de service indépendamment de leur jour de service commercial. La charge d’un élément de service résulte de la somme des charges de toutes les liaisons qui l’utilisent :

Les chemins partiels avec TCAux ne sont pas pris en considération pour le calcul des temps généralisés dépendant de l’occupation.

Calcul à partir des minutes « debout » attendues (chemins de fer allemands Deutsche Bahn – (DB))

Les minutes « debout » attendues (E) sont la moyenne du temps sans place assise dans le déplacement d’un voyageur si les voyageurs ont accès aux places assises de manière aléatoire sur chaque section arrêt-arrêt. Ceci résulte du fait qu’on ne peut distinguer les voyageurs déjà à bord du véhicule avant une section de trajet surchargée et ceux qui montent dans cette section. C’est cette interprétation des minutes « debout » qui s’applique lorsque la capacité d’un élément de service est définie par rapport aux places assises. Il s’agit globalement d’une incommodité augmentant avec l’occupation.

La probabilité d’être debout sur un élément de service v est approximée au moyen d’une fonction potentiellement asymptotique :

a et b sont des paramètres que vous devez spécifier, Av est l’occupation.

Les minutes « debout » attendues d’une liaison V correspondent au temps généralisé dépendant de la charge et résultent de l’addition du produit de la probabilité d’être debout par le temps de parcours pour tous les éléments de service de la liaison :

Calcul à l’aide d’une fonction de pénalité (chemins de fer suisses Schweizer Bundesbahnen – (SBB))

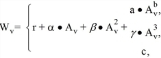
Le temps généralisé d’un élément de service v est donné par :

Vous devez spécifier les paramètres a, b, c, l1 et l2, Av est l’occupation d’un élément de service v. Les paramètres r, α, ß et γ résultent du fait que la fonction est continue et différentiable aux points l1 et l2.

Le temps généralisé d’une liaison V résulte donc de :

Calcul à l’aide d’une fonction de pénalité linéaire (Linéaire)

Le temps généralisé d’un élément de service v est donné par :

Les paramètres a et b sont définis par l’utilisateur, Av est l’occupation d’un élément de service v.

Le temps généralisé d’une liaison V résulte donc de :

Calcul au moyen de la fonction DGITM – CGSP (France)

Contrairement aux autres calculs du temps généralisé dépendant de l’occupation, le temps généralisé d’un élément de service v est différencié dans deux cas :

 

L’inconnue k_Assis résulte de :

k_Assis = a + b * p

L’inconnue k_Debout est calculée comme suit :

k_Debout = c + e * p

p correspond au nombre de voyageurs debout par unité de surface. Vous pouvez définir l’unité de surface dans les préférences utilisateur (Éditer les préférences utilisateur). p est calculé comme suit :

p = nombre de voyageurs debout/nombre de places debout • densité de voyageurs maximale.

Les indications sur le nombre de places totales et de places assises sont requises pour le calcul du nombre de places debout. Plus avant, on suppose que les voyageurs se mettent debout seulement quand l’occupation dépasse le nombre de places assises.

Les paramètres a, b, c et e doivent être spécifiés par l’utilisateur.

Le temps généralisé d’une liaison V résulte donc de :