Nœuds régulés par feux
|
Nota : Les nœuds signalisés sont décrits dans HCM 2000 au chapitre 16, dans HCM 2010 aux chapitres 18 et 31, et dans HCM 6e édition aux chapitres 19 et 31. Pour les nœuds et macronœuds du type de régulation signalisation lumineuse, auxquels aucune ISL n’est assignée ou dont l’ISL est désactivée, la méthode pour les nœuds régulés par signalisation statique est utilisée et non la méthode pour nœuds régulés par feux décrite ici. |
Le diagramme prévisionnel fondamental pour l’exécution de l’analyse de capacité pour des carrefours régulés par feux est représenté dans l’Illustration 69. Vous entrez la géométrie des nœuds, les charges (valeurs de comptage ou charges du modèle de la demande ajustées) et la signalisation. La géométrie des nœuds est subdivisée en groupes de voies (ou de lignes de feux) qui constituent l’unité d’analyse de base de la méthode HCM.
Un groupe de voies (ou de lignes de feux) est un groupe contenant une ou plusieurs voies dans un sens du nœud avec la même phase verte. Lorsqu’un sens ne présente par exemple qu’un élargissement de voie à gauche pour les tourne-à-gauche et une voie mixte pour les mouvements directs et les tourne-à-droite, il existe généralement deux groupes de voies, le groupe tourne-à-gauche et le groupe mixte mouvement direct/tourne-à-droite.
|
Nota : La répartition suit d’autres règles à partir de HCM 2010. Les voies mixtes constituent toujours un groupe de voies propre dans ce cas. Une description détaillée figure dans HCM 2010 aux pages 18-33 et dans HCM 6e édition aux pages 19-43. |
Les charges sont ensuite ajustées à l’aide de coefficients d’heure de pointe (peak hour factor PHF) etc. Le débit de saturation (saturation flow rate SFR) ou la capacité est calculé pour chaque groupe de voies au moyen du nombre de voies et de différents coefficients d’ajustement tels que la largeur de voie, la signalisation et les charges piétonnes. Après le calcul de la demande et de la capacité de chaque groupe de voies, plusieurs indicateurs de performance peuvent être déterminés. Il s’agit par exemple de l’occupation, du temps généralisé moyen pour chaque véhicule à partir de la régulation du nœud, du niveau de service et des congestions.
Illustration 69 : Déroulement de l’analyse de capacité pour les nœuds régulés par feux
|
Nota : Un diagramme prévisionnel analogue figure dans HCM 2010 aux pages 18-32 et dans HCM 6e édition aux pages 19-42. |
Lorsque vous utilisez le modèle d’opération pour les nœuds régulés par feux du HCM 2000 ou du HCM 2010, les attributs Visum contenus dans la Table 98 s’appliquent. Vérifiez que des valeurs réalistes sont définies pour ces attributs avant le début de l’analyse.
Vous pouvez aussi utiliser l’une des méthodes suivantes comme alternative au mode de calcul selon HCM :
- ICU1
- ICU2
- Circular 212 Planning
- Circular 212 Operations
Les procédures ne se distinguent de HCM que dans trois aspects :
- définition du débit de saturation idéal
- calcul de l’occupation finale v/s pour le nœud
- détermination du niveau de service (LOS)
Les variantes de calcul sont décrites plus en détail dans les étapes Étape 6, Étape 9 et Étape 13 ci-après.
|
Nota : Visum permet d’intégrer des régulations RBC et des régulations externes de type Vissig. Les régulations Vissig sont des régulations à temps fixe, les régulations RBC sont des régulations à temps fixe (pretimed) ou adaptatives (adaptatives ou partiellement adaptatives, c.-à-d. fully actuated ou semi actuated). HCM 2010 propose une méthode de calcul aussi bien pour les régulations à temps fixe qu’adaptatives. Dans Visum, la méthode pour régulations à temps fixe est utilisée pour les régulations Vissig, pour les régulations RBC, la méthode dépend du type d’adaptativité (actuation type). Vous trouverez une description de cette méthode dans HCM 2010 aux chapitres 18 et 31, et aux chapitres 19 et 31 dans HCM 6e édition. Avant d’effectuer un calcul, Visum importe les données de signalisation pour la régulation à partir du fichier de régulation correspondant. |
|
Élément de réseau |
Attribut |
Description / impact |
|
Tronçon |
ICA Arrival type |
Degré de formation de peloton du trafic arrivant au NoeudDest, utilisé dans l’Étape 10 + Étape 14a |
|
Tronçon |
Part PL |
Proportion de poids lourds, utilisée dans l’étape 6b. Valeur forfaitaire qui se rapporte à tous les mouvements tournants partant du tronçon. |
|
Tronçon |
Espace occupé par UVP |
Utilisé dans l’Étape 6 pour déterminer le nombre de véhicules pouvant être stockés sur une voie d’élargissement. |
|
Tronçon |
Pente |
Utilisé dans l’Étape 6 |
|
Tronçon |
Zone de travaux dans l’accès ACI |
Identifie un chantier temporaire dans la zone d’accès au carrefour, utilisé au cours de l’étape 6 (HCM 6e édition uniquement). |
|
Tronçon |
Nombre de voies en zone de travaux ACI |
Nombre de voies ouvertes au cours du chantier temporaire, utilisé au cours de l’étape 6. |
|
Tronçon |
Largeur de voie en zone de travaux ACI |
Largeur totale des voies ouvertes au cours du chantier temporaire, utilisé au cours de l’étape 6. |
|
Tronçon |
Facteur pour l’encombrement ACI |
Utilisé au cours de l’étape 6. |
|
Tronçon |
Facteur pour blocage de voie ACI |
Utilisé au cours de l’étape 6. |
|
Tronçon |
Voie tournante à droite influe sur voie tournante à gauche en sens inverse ACI |
Le choix d’intervalle véhicule des voies tournantes à gauche est influencé par les voies tournantes à droite (circulation à droite) issues de la voie d’accès en sens inverse, même si celles-ci ont une voie propre, utilisé au cours de l’étape 6. |
|
Nœud |
PHFVolAdj ACI |
Coefficient d’ajustement de la charge initiale à la charge de pointe. Les charges sont aussi bien divisées par les coefficients d’ajustement des nœuds que par ceux des mouvements au nœud. |
|
Nœud |
Tps perdu ACI |
Utilisé dans l’Étape 9. Requis uniquement pour des ISL selon les lignes de feux. La valeur est dérivée automatiquement pour les autres types de signalisation. |
|
Nœud |
Utiliser temps perdu configuré ACI |
Détermine si l’attribut de nœud TPerduACI est utilisé pour la détermination du temps perdu dans l’Étape 9 ou une valeur calculée automatiquement. |
|
Nœud |
EstHypercentre ACI |
Le nœud est-il situé dans l’hypercentre ? ; utilisé dans l’étape 6e. |
|
Nœud |
Sneakers ACI |
Nombre de véhicules pouvant être stockés par cycle dans la zone du nœud. La valeur en [véh] s’applique pour toutes les relations au nœud. Une capacité minimale est déterminée pour chaque relation à l’aide du temps de cycle. |
|
Nœud |
Numéro ISL |
Renvoi à l’ISL. |
|
Géométrie |
tous |
Informations de géométrie pour les voies, les voies tournantes et les passages piétons. |
|
Mouvement au nœud |
PHFVolAdjACI |
La charge initiale est ajustée à la période de pointe, les charges sont aussi bien divisées par les coefficients d’ajustement des nœuds que par ceux des mouvements au nœud. |
|
Mouvement au nœud |
Débit de saturation effectif configuré ACI |
Écrase le débit de saturation général configuré dans les paramètres de procédure en option. Est écrasé par la valeur de même nom pour la voie le cas échéant. |
| Mouvement au nœud | Facteur d’afflux ACI | Coefficient d’ajustement pour la limitation d’afflux, utilisé dans l’Étape 10b + Étape 14b |
|
Mouvement au nœud |
Part PL |
Proportion de poids lourds, utilisée dans l’étape 6b. Valeur forfaitaire qui se rapporte au mouvement tournant. |
|
Mouvement au nœud |
Temps d’attente de flux à signalisation statique ACI |
Temps d’attente de flux sans signalisation lumineuse, utilisé dans les étapes 11 et 12. |
|
Régulation par feux |
tous |
Définition de lignes de feux, de phases (le cas échéant) et de la signalisation. |
|
ISL |
Utiliser méthode de temps de protection |
Utilisé dans l’Étape 9 pour déterminer les temps perdus. |
|
ISL |
Éteint |
Si une ISL est marquée comme désactivée, le nœud est calculé conformément au type de régulation « signalisation statique ». |
|
Ligne de feux |
Ajustement Tps perdu ACI |
Ajouté au temps de vert réel. La somme du temps de vert réel et de l’ajustement du temps perdu ACI donne le temps de vert effectif sur lequel reposent tous les calculs. |
| Ligne de feux | Temps perdu départ ACI | Influe sur le calcul du temps de vert efficace conformément aux formules de HCM. |
|
Branche |
Fréquence de bus pour ACI |
Nombre de haltes de bus en véh/h ; sert à calculer le coefficient d’ajustement pour le débit de saturation pour tenir compte d’arrêts de bus conformément aux formules de HCM. |
|
Branche |
Stationnement à droite/gauche possible ACI |
Décrit si le stationnement est autorisé du côté droit ou gauche de la route ; sert à calculer le coefficient d’ajustement pour le débit de saturation pour tenir compte de manœuvres de stationnement conformément aux formules de HCM. |
| Branche | Fréquence de stationnement à droite/gauche ACI | Nombre de manœuvres de stationnement / h du côté droit ou gauche ; sert à calculer le coefficient d’ajustement pour le débit de saturation pour tenir compte de manœuvres de stationnement conformément aux formules de HCM. |
|
Branche |
Charge cycles ACI |
Nombre de cycles par heure, pour déterminer un coefficient d’ajustement pour le débit de saturation. |
|
Voie |
Nb véhicules |
Nombre de véhicules défini par l’utilisateur ≥ 0.0 pouvant être stockés sur l’élargissement. L’attribut est uniquement utilisé lorsque l’attribut Utiliser nombre véhicules est activé et lorsque le paramètre de procédure général pour l’utilisation de la longueur d’élargissement pour déterminer le débit de saturation est activé. |
|
Voie |
Utiliser nombre véhicules |
Décision s’il faut utiliser le Nb véhicules de la voie. Quand l’attribut n’est pas activé, le nombre de véhicules est déterminé à partir de la longueur de l’élargissement et de l’attribut Espace occupé par UVP. |
|
Voie |
Long |
Longueur de la voie s’il s’agit d’un élargissement. L’attribut est uniquement utilisé lorsque l’attribut Utiliser nombre véhicules n’est pas activé et lorsque le paramètre de procédure général pour l’utilisation de la longueur d’élargissement pour déterminer le débit de saturation est activé. Le nombre de véhicules est alors déterminé à partir de la longueur de l’élargissement et de l’attribut Espace occupé par UVP. |
|
Voie |
Largeur |
Largeur de la voie. Sert à déterminer le débit de saturation du groupe de voies dont la voie fait partie. La largeur déterminée pour le groupe de voie est la moyenne des largeurs des voies qu’il contient. |
|
Voie |
Débit de saturation effectif configuré ACI |
Débit de saturation pour la voie après prise en considération de tous les coefficients d’ajustement. Utilisez cet attribut pour définir le débit de saturation directement si les coefficients d’ajustement selon HCM ne reflètent pas les conditions réelles sur la voie. Cette valeur écrase la valeur configurée dans les paramètres de procédure et des valeurs configurées pour les mouvements au nœud le cas échéant. |
|
Voie |
Utiliser débit de saturation effectif config. ACI |
Décision s’il faut remplacer le débit de saturation effectif calculé en interne par la valeur du Débit de saturation effectif configuré ACI. |
|
Voie |
Part d’utilisation ACI |
Part de charge de la voie au sein d’un groupe de voies à plusieurs voies. Le total des parts indiqués est automatiquement normalisé à 100 %, c.-à-d. que vous pouvez spécifier des pondérations relatives par voie. Cette valeur est utilisée dans l’Étape 6. |
|
Voie |
Utiliser part d’utilisation ACI |
Décision s’il faut remplacer la part d’utilisation calculée en interne par la valeur de la Part d’utilisation ACI. |
|
Passage piétons |
Charge piétons |
Nombre de piétons par heure, pour déterminer un coefficient d’ajustement pour le débit de saturation. |
Table 98 : Attributs d’entrée pour les nœuds régulés par feux
|
Nota : L’attribut de tronçon Tourner au rouge n’est pas pris en considération pour le calcul. |
La sortie de résultats est possible avec les attributs contenus dans la Table 99.
|
Élément de réseau |
Attribut |
Description / impact |
|
Nœud |
MvtN tChg max MvtN tChg moy MvtN tChg total |
Total, moyenne, maximum du tChg de mouvements au nœud. Ces attributs sont désormais obsolètes car ils sont disponibles en tant qu’attributs indirects mais on les a conservés pour des raisons de compatibilité avec les versions antérieures. |
|
Nœud |
TxOccupation-TI |
Occupation sur la base de la charge de dimensionnement |
|
Nœud |
ChgDimensionnement[Véh] TI |
Charge en [véh/h] prise en considération dans le calcul HCM, tel que défini dans les paramètres de procédure |
|
Nœud |
ChgDimensionnement[UVP] TI |
Charge en [UVP/h] prise en considération dans le calcul HCM, tel que défini dans les paramètres de procédure |
|
Nœud |
Niveau de service |
|
|
Nœud |
TAttenteMoyLOS |
|
|
Mouvement au nœud |
ChgDimensionnement[Véh] TI ... |
Charge en [véh/h] prise en considération dans le calcul HCM, tel que défini dans les paramètres de procédure |
|
Mouvement au nœud |
ChgDimensionnement[UVP] TI... |
Charge en [UVP/h] prise en considération dans le calcul HCM, tel que défini dans les paramètres de procédure |
|
Mouvement au nœud |
Chg finale ACI |
Après tous les ajustements |
|
Mouvement au nœud |
Capacité finale ACI |
Capacité effective après prise en considération de la circulation en sens inverse etc. |
|
Mouvement au nœud |
Débit de saturation calculé ACI |
Après tous les ajustements |
|
Mouvement au nœud |
Long. congestion moyenne ACI |
Longueur de congestion moyenne |
|
Mouvement au nœud |
Centile de long. de congestion ACI |
Centile de la longueur de la congestion Spécifiez dans les paramètres de procédures quel centile vous souhaitez calculer. |
|
Mouvement au nœud |
Niveau de service |
Niveau de service du mouvement au nœud |
|
Mouvement au nœud |
tChg-SysTrTI |
Temps de parcours spécifique au SysTr dans le réseau chargé |
Table 99 : Attributs de sortie pour les nœuds régulés par feux
Étape 1 : Calculer la charge de voie à partir de la charge de relation
Dans cette étape, la charge de relation est répartie sur les voies conformément à la géométrie définie par l’utilisateur. La règle de distribution fondamentale consiste à distribuer les charges de manière égale sur les voies en tenant compte des charges de relation spécifiées. La méthode implémentée est identique à celle de la méthode pour carrefours de type all-way stop (arrêt toutes directions) (All-way stop (arrêt toutes directions)). Vous pouvez écraser les parts d’utilisation de chaque voie au sein de son groupe de voies au besoin (attribut de voie Part d’utilisation ACI).
HCM 2010 diffère ici significativement de HCM 2000. Dans HCM 2010, le calcul est nettement plus complexe. Les charges de voie sont déterminées ici de manière itérative à l’aide de débits de saturation. Une description figure dans HCM 2010 aux pages 31-30 à 31-37.
Étape 2 : Ajuster les charges à l’aide d’un coefficient d’heure de pointe
Les charges de voie spécifiées sont ajustées à l’aide du coefficient d’heure de pointe (PHF = peak hour factor), afin de représenter la charge d’heure de pointe. Le coefficient PHF est défini de la manière suivante :
vi = vg / PHF
où
|
vi |
Charge ajustée pour le groupe de voies i |
|
vg |
Charge (spécifiée) non ajustée pour le groupe de voies g |
|
PHF |
(peak hour factor) Coefficient d’heure de pointe (0 – 1,0) |
Étape 3 : Calculer les groupes de voies généraux tourne-à-gauche/mouvement direct/tourne-à-droite
Les groupes de voies généraux sont des voies mixtes où 100 % de la charge se déplace dans la même direction. Par exemple, lorsqu’un groupe de voies se compose d’une voie mixte pour les tourne-à-gauche et les mouvements directs et que 100 % de la charge de voie tourne à gauche, le groupe est converti en groupe de voies général tournant exclusivement à gauche.
Dans HCM 2010, les charges de mouvements au nœud n’influent pas sur l’ensemble des groupes de voies. Comme décrit précédemment, les voies mixtes constituent toujours un groupe de voies propre, même si un seul mouvement tournant est utilisé de facto.
Étape 4 : Calculer le type de tourne-à-gauche
Il faut déterminer le type de tourne-à-gauche pour pouvoir calculer le coefficient d’ajustement pour tourne-à-gauche. Le type de tourne-à-gauche est défini de la manière suivante.
- Entièrement permis lorsque tous les mouvements tournants d’une voie d’accès sont sans conflit pendant leurs temps de vert.
- Protégé lorsque le tourne-à-gauche est sans conflit pendant le temps de vert.
- Protégé + permis lorsque le tourne-à-gauche est d’abord protégé pendant le temps de vert puis permis.
- Permis + protégé lorsque le tourne-à-gauche est d’abord permis pendant le temps de vert puis protégé.
- Sans phase de tourne-à-gauche pour tous les autres cas.
Étape 5 : Calculer la part de véhicules tournant à gauche et tournant à droite pour chaque groupe de voies
La part de la charge des tourne-à-droite et des tourne-à-gauche pour chaque groupe de voies doit être calculée.
PLT = vLT / vi
PRT = vRT / vi
où
|
PLT |
Part de la charge de tourne-à-gauche pour le groupe de voies |
|
PRT |
Part de la charge de tourne-à-droite pour le groupe de voies |
|
vi |
Charge ajustée pour le groupe de voies |
|
vLT |
Charge des véhicules tournant à gauche pour le groupe de voies |
|
vRT |
Charge des véhicules tournant à droite pour le groupe de voies |
Dans HCM 2010, les parts des mouvements tournants sur les voies mixtes sont calculées avec la méthode itérative mentionnée dans l’Étape 1. Une description détaillée figure dans HCM 2010 à partir de la page 31-30.
Étape 6 : Calculer le débit de saturation pour chaque groupe de voies
Le débit de saturation (saturation flow rate SFR) est le volume de trafic pouvant tourner dans les conditions de géométrie et de régulation données. Le débit de saturation commence par une capacité optimale, dans HCM 2000 et HCM 2010 généralement 1 900 véhicule par heure par voie (vphpv).
Dans les variantes de calcul ICU1 et ICU2, le débit de saturation idéal est par contre de 1 600 véhicules par heure par voie. Dans la variante Circular 212, il est tiré de la table suivante :
|
Méthode |
2 phases |
3 phases |
4 phases et + |
|
Planning |
1 500 |
1 425 |
1 375 |
|
Operations |
1 800 |
1 720 |
1 650 |
Ce nombre diminue en raison de différents facteurs. Le débit de saturation est défini de la manière suivante :
si = (so)(N) • (fw)(fHV)(fg)(fp)(fa)(fbb)(fLu)(fRT)(fLT)(fLpb)(fRpb)(fWZ)(fms)(fsp)
où
|
si |
Débit de saturation du groupe de voies i |
|
so |
Débit de saturation idéal pour chaque voie (habituellement 1 900 vphpv) |
|
N |
Nombre de voies dans le groupe de voies |
|
fw |
Coefficient d’ajustement pour la largeur de voie |
|
fHV |
Coefficient d’ajustement pour les PL (*) |
|
fg |
Coefficient d’ajustement pour la pente de la voie d’accès (*) |
|
fp |
Coefficient d’ajustement pour le stationnement |
|
fa |
Coefficient d’ajustement pour la localisation du tronçon par rapport au centre ville (hypercentre/pas hypercentre) |
|
fbb |
Coefficient d’ajustement pour le blocage en raison d’un arrêt de bus |
|
fLu |
Coefficient d’ajustement pour l’affectation des voies |
|
fRT |
Coefficient d’ajustement pour tourne-à-droite |
|
fLT |
Coefficient d’ajustement pour tourne-à-gauche |
|
fLpb |
Coefficient d’ajustement pour piétons et cycles pour les tourne-à-gauche |
|
fRpb |
Coefficient d’ajustement pour piétons et cycles pour les tourne-à-droite |
|
fWZ |
Coefficient d’ajustement pour présence de chantiers (**) |
|
fms |
Coefficient d’ajustement pour blocage de voie (**) |
|
fsp |
Coefficient d’ajustement pour encombrement persistant (**) |
(*) Les coefficients d’ajustement pour PL et pentes ont été réunis dans HCM 6e édition et remplacent les coefficients séparés jusqu’à présent pour les PL et les pentes des HCM 2000 et 2010.
(**) Uniquement dans HCM 6e édition
Le calcul principal est décrit ci-après dans un premier temps, suivi du calcul des différents coefficients d’ajustement du débit de saturation.
Lorsqu’un débit de saturation idéal ACI est défini pour un mouvement au nœud, il remplace le résultat final de l’Étape 5. Tous les calculs d’ajustement sont alors ignorés.
Les calculs dans HCM 2000 et HCM 2010 sont semblables. L’ensemble des coefficients qui influent sur le débit de saturation est identique. Il existe des différences pour le calcul des coefficients fw (HCM 2010, page 18-36), fLpb et fRpb. Ces derniers sont calculés avec la méthode itérative décrite dans HCM 2010 aux pages 31-30 à 31-37.
Les coefficients d’ajustement pour PL et pour pente ont été réunis pour le calcul dans HCM 6e édition. Un coefficient d’ajustement a été introduit pour tenir compte de la présence de chantiers au niveau de la voie d’accès. Il est possible également de tenir compte des coefficients d’ajustement pour encombrement persistant et pour le blocage de voie. Vous trouverez la formule complète du calcul du débit de saturation pour le groupe de voies dans HCM 6e édition aux pages 19-44.
À la différence du HCM, il est également possible de déterminer le débit de saturation optimal so de voies d’élargissement à l’aide du nombre de véhicules pouvant y être stockés. Le nombre n de véhicules peut soit être spécifié directement pour la voie, soit il est obtenu par division à partir de la longueur de la voie d’élargissement et de la longueur de véhicule par défaut spécifiée pour le tronçon.
La méthode de calcul alternative avec les longueurs de voies est uniquement utilisée lorsque le groupe de voies contient une ou plusieurs voies de transit tout droit et une et une seule voie d’élargissement. La voie d’élargissement doit être de type mouvement direct, mouvement direct-tourne-à-gauche ou mouvement direct-tourne-à-droite. Si ces conditions ne sont pas satisfaites, le calcul HCM normal est appliqué.
Le débit de saturation optimal so d’un groupe de voies à deux voies composé d’une voie de transit et d’un élargissement où n véhicules peuvent être stockés, est donc le suivant :
so est le débit de saturation idéal, n le nombre de véhicules pouvant être stockés sur l’élargissement, gi le temps de vert efficace et sf le débit de saturation résultant du groupe de voies.
Le calcul est plus compliqué pour des voies mixtes. En admettant une voie de transit pour mouvements directs seuls et un élargissement mixte pour tourne-à-gauche et mouvements directs, le débit de saturation résultant sf est le suivant :
vLT et vST sont les charges du tourne-à-gauche et du mouvement direct, sLT le débit de saturation idéal du tourne-à-gauche – soit 1 900 vphpv – et sST le débit de saturation idéal des voies de mouvement direct résultant de la première équation.
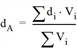
Étape 7 : Calculer les temps de vert efficaces
Il faut ensuite calculer le temps de vert efficace (ou le temps de vert réel d’un groupe de voies). Le temps de vert efficace est le suivant :
gi = Gi + li
où
|
gi |
Temps de vert efficace pour le groupe de voies |
|
Gi |
Temps de vert pour le groupe de voies |
|
li |
Ajustement du temps perdu de la ligne de feux |
Étape 8 : Calculer la capacité pour chaque groupe de voies
La capacité est apparentée au débit de saturation. Le débit de saturation correspond à la capacité lorsque 100 % du temps de vert reviennent à la relation (c.-à-d. que l’ISL est toujours au vert pour la relation). La capacité tient néanmoins compte du fait que la relation doit partager l’ISL avec d’autres relations au carrefour et multiplie donc le débit de saturation par le pourcentage du temps de vert dans le cycle. La capacité du groupe de voies est alors définie comme suit.
ci = si • (gi / C)
où
|
ci |
Capacité i |
|
si |
Débit de saturation i |
|
C |
Temps de cycle |
|
gi / C |
Part de temps de vert i |
Étape 9 : Calculer l’occupation critique pour le carrefour entier
L’occupation critique de carrefour est définie ci-après. La méthode HCM traite du groupe de voies critique pour chaque phase. Le groupe de voies critique est celui à l’occupation la plus élevée à moins qu’il n’y ait des phases chevauchantes. Dans ce cas, on applique le maximum des différentes combinaisons de phases en tant que maximum. Dans HCM 2000, cette méthode est décrite à la page 16-14, dans HCM 2010 à la page 18-41.
Les temps perdus sont uniquement déterminés si la méthode de temps de protection utilisée de l’ISL est Jaune et rouge intégral. Pour chaque ligne de feux, le temps perdu découle de la somme du temps de jaune et du temps de rouge intégral moins l’ajustement du temps perdu.
où
|
Xc |
Occupation critique (v/c) pour le carrefour |
|
|
Occupation pour tous les groupes de voies critiques |
|
C |
Temps de cycle |
|
L |
Somme des temps perdus des lignes de feux de tous les groupes de voies critiques |
Un exemple de calcul pour les groupes de voies critiques pour chaque phase avec chevauchement figure ci-après.
Dans la variante de calcul ICU1, Xc est défini comme suit :
Dans la variante de calcul ICU2, Xc est défini comme suit :
Étape 10 : Temps d’attente total moyen pour chaque groupe de voies
Outre le calcul de l’occupation critique de carrefour, la méthode HCM détermine le temps d’attente moyen pour chaque véhicule. Le temps d’attente moyen est défini ci-après.
di = dUiPF + dIi + dRi
où
|
di |
Temps d’attente moyen pour chaque véhicule pour le groupe de voies i |
|
dUi |
Temps d’attente uniforme |
|
dIi |
Temps d’attente incrémentiel (stochastique) |
|
dRi |
Temps d’attente pour la demande restante |
|
PF |
Coefficient d’ajustement uniforme pour la qualité de coordination (Coordination des feux (optimisation des temps de décalage d’ISL)) |
La forme de l’équation est semblable dans HCM 2010. Le coefficient PF est toutefois intégré dans le coefficient dUi. La description figure dans HCM 2010 à partir de la page 18-45.
où
|
fPA |
Valeur de consultation (HCM annexe 16-12) reposant sur le type d’arrivée |
|
RP |
Valeur de consultation (HCM annexe 16-12) reposant sur le type d’arrivée |
Étape 10a : Calculer un temps d’attente uniforme pour chaque groupe de voies
Le temps d’attente uniforme est le temps d’attente escompté dans la mesure où il existe une distribution égale des arrivées et pas de saturation. Il est calculé comme suit :
où
|
dUi |
Temps d’attente uniforme pour le groupe de voies i |
|
gi |
Temps de vert efficace |
|
Xi = v/c |
Occupation |
Étape 10b : Calculer un temps d’attente incrémentiel pour chaque groupe de voies
Le temps d’attente incrémentiel est le temps d’attente stochastique qui se présente dans la mesure où les arrivées ne sont pas uniformes et où certains cycles sont surchargés. Il est calculé comme suit.
où
|
dIi |
Temps d’attente incrémentiel (stochastique) pour le groupe de voies i |
|
ci |
Capacité du groupe de voies i |
|
Xi = v/c |
Occupation |
|
T |
Durée du laps de temps d’analyse (h) (valeur par défaut 0,25 pour 15 min.) |
|
ki |
Valeur de consultation (HCM annexe 16-13) reposant sur le type de contrôleur |
|
Ii |
Coefficient d’ajustement pour la restriction d’écoulement par le nœud situé en amont (la valeur 1 est appliquée pour un carrefour isolé) |
Étape 10c : Calculer le temps d’attente pour la demande restante pour chaque groupe de voies
Le temps d’attente pour la demande restante résulte de la demande non satisfaite au début d’un laps de temps d’analyse. Il est uniquement calculé lorsqu’une demande initialement non satisfaite est spécifiée au début du laps de temps d’analyse (Q). Dans l’implémentation actuelle, le temps d’attente est mis à 0. Il est calculé comme suit.
où
|
dRi |
Temps d’attente pour la demande restante pour le groupe de voies i |
|
Qbi |
Demande initialement non satisfaite au début du laps de temps T dans les véhicules pour le groupe de voies (valeur par défaut 0) |
|
ci |
Capacité |
|
T |
Durée du laps de temps d’analyse (h) (valeur par défaut 0,25 pour 15 min.) |
|
ui |
Paramètre de temps d’attente pour le groupe de voies (valeur par défaut 0) |
|
ti |
Durée de la demande non satisfaite dans T pour le groupe de voies (valeur par défaut 0). |
Étape 11 : Calculer le temps d’attente pour la voie d’accès
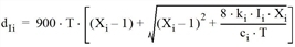
Le temps d’attente total par véhicule pour chaque groupe de voies peut être agrégé pour la voie d’accès et pour le carrefour entier à l’aide de l’équation suivante. Le temps d’attente pour la voie d’accès est calculé en tant que temps d’attente pondéré pour chaque groupe de voies.
où
|
dA |
Temps d’attente total moyen par véhicule pour la voie d’accès A |
|
di |
Temps d’attente pour le groupe de voies i |
|
Vi |
Charge pour le groupe de voies i |
Étape 12 : Calculer le temps d’attente pour le carrefour
Le temps d’attente pour le carrefour est calculé en tant que temps d’attente pondéré pour chaque voie d’accès.
où
|
dI |
Temps d’attente moyen par véhicule pour le carrefour I |
|
dA |
Temps d’attente pour la voie d’accès |
|
VA |
Charge de la voie d’accès |
Avec HCM 6e édition, il est possible de définir un temps d’attente pour les flux sans signalisation lumineuse qui peuvent être pris en considération lors du calcul des temps d’attente pour la voie d’accès ou les nœuds. Dans ce cas, il est nécessaire de présenter l’intégration des valeurs spécifiées pour le calcul.
Étape 13 : Calculer le niveau de service (Level of Service)
Dans la variante de calcul HCM 2000, le niveau de service (Level of Service) est défini en tant que valeur reposant sur le temps d’attente moyen du carrefour.
|
LOS |
Temps d’attente moyen/véhicule |
|
A |
0 – 10 sec. |
|
B |
10 – 20 sec. |
|
C |
20 – 35 sec. |
|
D |
35 – 55 sec. |
|
E |
55 – 80 sec. |
|
F |
80 sec. et plus |
Dans HCM 2010, le niveau de service F est spécifié automatiquement lorsque v/c (rapport de la charge par la capacité) dépasse la valeur 1.
Pour les variantes ICU 1, ICU2 et Circular 212, le niveau de service est par contre défini au moyen de l’occupation v/s du carrefour :
|
LOS |
v/s |
|
A |
0,000 - 0,600 |
|
B |
0,601 - 0,700 |
|
C |
0,701 - 0,800 |
|
D |
0,801 - 0,900 |
|
E |
0,901 - 1,000 |
|
F |
>1,000 |
Étape 14 : Calculer la longueur de congestion moyenne pour chaque groupe de voies
Des longueurs de congestion sont également calculées avec la méthode HCM 2000. La méthode dans HCM 2010 diffère et y est décrite dans la section 31-4, à partir de la page 31-67.
L’équation pour la longueur de congestion moyenne est la suivante :
Q = Q1 + Q2
où
|
Q |
Longueur de congestion moyenne – longueur maximale qu’atteint la file d’attente pour un cycle moyen, mesurée en véhicules |
|
Q1 |
Longueur de congestion moyenne pour une arrivée uniforme avec ajustement de la progression |
|
Q2 |
Terme incrémentiel pour des arrivées aléatoires et report au cycle suivant |
Étape 14a : Calculer le nombre de véhicules retenus dans la congestion lors du premier cycle
Q1 désigne le nombre de véhicules arrivant dans les phases rouges et dans la phase verte jusqu’à ce que la file d’attente soit résorbée.
où
|
PF2 |
Coefficient de progression 2 |
|
vi |
Charge du groupe de voies i par voie |
|
C |
Temps de cycle |
|
gi |
Temps de vert efficace du groupe de voies i |
|
Xi |
Occupation du groupe de voies i |
où
|
PF2 |
Coefficient de progression 2 |
|
vi |
Charge du groupe de voies i par voie |
|
C |
Temps de cycle |
|
gi |
Temps de vert efficace du groupe de voies i |
|
si |
Débit de saturation pour le groupe de voies i |
|
RP |
Part du peloton – conformément à la table de recherche pour le type d’arrivée |
Étape 14b : Nombre de véhicules retenus dans la congestion pendant plusieurs cycles, évaluation pour la file d’attente de surplus moyenne
où
|
T |
Laps de temps d’analyse (généralement 0,25 pour 15 min.) |
|
k |
Coefficient d’ajustement pour arrivée anticipée |
|
Qb |
File d’attente initiale au début du laps de temps (valeur par défaut 0) |
|
ci |
Capacité pour le groupe de voies i |
k = 0,12 I • (sigi / 3 600)0,7 pour une régulation à temps fixe
k = 0,10 I • (sigi / 3 600)0,6 pour une régulation adaptative
|
I |
Coefficient de filtre en amont (la valeur 1 est appliquée pour un carrefour isolé) |
Étape 15 : Calculer le centile de la longueur de congestion
Après le calcul de la longueur de congestion moyenne, le centile de la longueur de congestion est calculé de la manière suivante :
où
|
Q |
Longueur de congestion moyenne |
|
Centile |
Régulation à temps fixe |
Régulation adaptative |
||||
|
|
P1 |
P2 |
P3 |
P1 |
P2 |
P3 |
|
70 % |
1,2 |
0,1 |
5 |
1,1 |
0,1 |
40 |
|
85 % |
1,4 |
0,3 |
5 |
1,3 |
0,3 |
30 |
|
90 % |
1,5 |
0,5 |
5 |
1,4 |
0,4 |
20 |
|
95 % |
1,6 |
1,0 |
5 |
1,5 |
0,6 |
18 |
|
98 % |
1,7 |
1,5 |
5 |
1,7 |
1,0 |
13 |
Coefficients d’ajustement du débit de saturation
Revenons au calcul du débit de saturation (Calculer le débit de saturation pour chaque groupe de voies), couplé avec plusieurs coefficients d’ajustement.
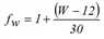
Étape 6a : Calculer le coefficient d’ajustement pour la largeur de voie
où
|
fw |
Coefficient d’ajustement pour la largeur de voie |
|
W |
Largeur de voie moyenne (≥ 8) (ft) |
Cette méthode diffère dans HCM 2010. Une description y figure à la page 18-36.
Étape 6b : Calculer le coefficient pour les poids lourds
où
|
fHV |
Coefficient d’ajustement pour les poids lourds |
|
%HV |
Pourcentage des PL pour le groupe de voies |
|
ET |
Coefficient d’équivalence aux VP (2,0 / HV) |
Étape 6c : Calculer le coefficient d’ajustement pour la pente de la voie d’accès
où
|
fg |
Coefficient d’ajustement pour la pente de la voie d’accès |
|
%G |
Pente de la voie d’accès en pour cent (-6 % à +10 %) |
Dans HCM 6e édition, les coefficients d’ajustement pour les poids lourds et la pente de la voie d’accès ont été réunis. Avec les nouveaux coefficients d’ajustement combinés, une différence est observée entre les pentes négatives (descentes)
et les pentes non négatives (plat ou montée)
où
|
PHV |
Part des PL dans le groupe de voies (%) |
|
Pg |
Pente de la voie d’accès pour le groupe de voies (%) |
Étape 6d : Calculer le coefficient d’ajustement pour le stationnement
fP est calculé de la manière suivante :
où
|
fP |
Coefficient d’ajustement pour le stationnement (1,0 lorsqu’il n’y a pas stationnement, sinon ≥ 0,050) |
|
N |
Nombre de voies dans le groupe de voies |
|
Nm |
Nombre de manœuvres de stationnement par heure (uniquement pour les groupes de voies tourne-à-droite) (0 à 180) |
Dans Visum, vous spécifiez fP, le résultat de la formule, directement comme attribut Stationnement ACI pour la branche de nœud.
Étape 6e : Calculer le coefficient d’ajustement pour la localisation par rapport au centre ville
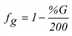
fa = 0,9 pour un tronçon en centre ville (hypercentre), sinon 1,0
où
|
fa |
Coefficient d’ajustement pour la localisation |
|
hypercentre |
Désignation de l’hypercentre (central business district) |
Étape 6f : Calculer le coefficient d’ajustement pour un blocage en raison d’un arrêt de bus
où
|
fbb |
Coefficient d’ajustement pour un blocage en raison d’un arrêt de bus (≥ 0,05) |
|
N |
Nombre de voies dans le groupe de voies |
|
NB |
Nombre d’arrêts des bus par heure (ne s’applique pas aux groupes de voies tourne-à-gauche) (0 à 250) |
Dans Visum, vous spécifiez fbb, le résultat de la formule, directement comme attribut Fréquence de bus ACI pour la branche de nœud.
Étape 6g : Calculer le coefficient d’ajustement pour l’affectation des voies
où
|
fLu |
Coefficient d’ajustement pour l’affectation des voies |
|
vg |
Charge (d’entrée) non ajustée pour le groupe de voies g |
|
vgl |
Charge (d’entrée) non ajustée pour les voies dont la charge est la plus élevée dans le groupe de voies (véh/h) |
Pour le coefficient d’ajustement, une table définie dans HCM est utilisée (HCM 2000 : table 10-23 à la page 10-26 ; HCM 2010 : table 18-30 à la page 18-77). Vous pouvez aussi utiliser les valeurs configurées pour les voies (Part d’utilisation ACI et Utiliser part d’utilisation ACI).
Étape 6h : Calculer le coefficient d’ajustement pour tourne-à-droite
où
|
fRT |
Coefficient d’ajustement pour tourne-à-droite (≥ 0,05) |
|
PRT |
Nombre de tourne-à-droite pour le groupe de voies |
Dans HCM 2010, le calcul est effectué différemment. Le coefficient d’ajustement n’est plus déterminé explicitement pour les voies mixtes. Une description figure dans HCM 2010 à la page 18-38.
Étape 6i : Calculer le coefficient d’ajustement pour tourne-à-gauche
Le coefficient d’ajustement pour tourne-à-gauche est le coefficient le plus complexe. HCM 2000 et HCM 2010 diffèrent ici significativement. La description dans HCM 2010 figure à la page 18-38 et aux pages 31-30 à 31-37.
Le calcul est simple lorsque le phasage des tourne-à-gauche est protégé. Pour un phasage permis des mouvements tournants, l’équation est toutefois assez complexe. Elle a la forme suivante :
où
|
fLT |
Coefficient d’ajustement pour tourne-à-gauche |
|
PLT |
Nombre de tourne-à-gauche pour le groupe de voies |
En cas de phasage permis, on distingue cinq cas. Lorsque le phasage est protégé plus permis ou permis plus protégé, l’analyse est divisée en partie protégée et en partie permise. Les deux sont analysées séparément puis combinées. En substance, elles sont traitées comme deux groupes de voies séparés. La répartition des temps de vert efficaces entre les parties protégées et permises est décrite dans HCM.
1. Voie de mouvement tournant propre avec phasage permis – utiliser l’équation générale ci-après
2. Voie de mouvement tournant propre avec phasage protégé plus permis – 0,95 pour la partie protégée et utiliser l’équation générale ci-après
3. Voie mixte avec phasage permis – utiliser l’équation générale ci-après
4. Voie mixte avec phasage protégé plus permis – utiliser l’équation ci-dessus pour la partie protégée de la voie mixte et l’équation générale ci-après pour la partie permise
5. Voie d’accès à une voie avec tourne-à-gauche permis – utiliser l’équation générale ci-après
L’équation générale pour le calcul de fLT pour les tourne-à-gauche permis figure ci-après. Dans HCM 2000, cette équation varie légèrement en fonction du cas d’application (voies mixtes/voies propres, voies d’accès à plusieurs voies/à une voie etc.), mais toutes les variantes de l’équation reposent sur la même approche fondamentale. L’équation représentée est valable pour une voie de tourne-à-gauche propre à phasage permis sur une voie d’accès à plusieurs voies, le flux antagoniste présentant également plusieurs voies.
L’équation consiste fondamentalement en un pourcentage du temps pendant lequel les tourne-à-gauche peuvent tourner multiplié par un coefficient d’ajustement. Le coefficient d’ajustement est basé sur la part des tourne-à-gauche dans le groupe de voies et sur un coefficient équivalent pour le temps d’acceptation d’intervalles véhicule qui repose sur le volume de la circulation antagoniste. Le calcul du pourcentage du temps pendant lequel les tourne-à-gauche peuvent tourner est une fonction du volume de la circulation antagoniste et de son temps de vert. L’équation est la suivante.
fLTmin = 2 • (1 + PL) / g
gu = g - gq (lorsque gq ≥ 0, sinon gu = g)
où
|
fLT |
Coefficient d’ajustement général pour tourne-à-gauche |
|
fLTmin |
Valeur minimale pour le coefficient d’ajustement |
|
g |
Temps de vert efficace non protégé pour les groupes de voies du tourne-à-gauche |
|
gu |
Temps de vert efficace non protégé pendant lequel les tourne-à-gauche doivent croiser un flux conflictuel |
|
PL |
Part de tourne-à-gauche sur la voie L |
|
EL1 |
Équivalent de mouvement direct pour tourne-à-gauche non protégés (véh/h/voie) (valeur de consultation dépendante du volume du flux conflictuel) |
|
gq |
Temps de vert efficace non protégé pendant lequel les tourne-à-gauche sont entièrement bloqués et la congestion du flux conflictuel est résorbée |
|
go |
Temps de vert efficace pour le flux conflictuel |
|
N |
Nombre de voies dans le groupe de voies |
|
volc |
Flux conflictuel corrigé par voie par cycle = |
|
No |
Nombre de voies dans le groupe de voies du flux conflictuel |
|
vo |
Flux conflictuel corrigé |
|
fLUo |
Coefficient d’affectation des voies pour le flux conflictuel |
|
qro |
Rapport de congestion pour le flux conflictuel = max[1 - Rpo • (go / C), 0] (Rpo = valeur de consultation dépendante de ArrivalType) |
|
tl |
Temps perdu pour le groupe de voies du tourne-à-gauche |
Le volume de la circulation antagoniste est calculé à partir des lignes de feux dont la phase est verte en même temps que le groupe de voies observé. On considère toujours le volume total d’un flux antagoniste respectif, même lorsque les temps de verts ne se chevauchent qu’en partie.
Il n’est pas nécessaire de généraliser le calcul pour les tourne-à-gauche permis pour des nœuds à plus de quatre branches, car pour chaque tourne-à-gauche permis, une voie d’accès en sens inverse est autorisée au maximum. Si plus d’une voie d’accès en sens inverse est autorisée, une erreur est enregistrée dans le journal d’erreurs.
Étape 6j : Calculer le coefficient d’ajustement pour piétons pour les tourne-à-gauche et les tourne-à-droite
La détermination des coefficients des tourne-à-gauche et tourne-à-droite pour les piétons et cycles est une opération relativement complexe. Elle se déroule en quatre étapes. La charge de cycles sur les branches et la charge de piétons sur les passages piétons sont utilisées pour le calcul. Un flux de véhicules est en conflit potentiel avec deux passages piétons sur la branche d’origine. Ces deux passages-piétons sont en sens inverses.
|
Nota : S’il existe un îlot triangulaire sur une branche, il n’existe aucun conflit entre le tourne-à-droite et les piétons. |
Étape 1 : détermination du taux d’occupation de piétons OCCpedg.
Le taux d’occupation de piétons OCCpedg est dérivé de la charge. On a
vpedg est le débit piéton, v1pedg et v2pedg les charges de piétons des passages piétons, C le temps de cycle de l’ISL et g1p et g2p le temps de vert pour les piétons.
|
Nota : Dans HCM2000, on admet implicitement que la phase de vert des tourne-à-gauche et celle des piétons débutent simultanément. Dans Visum, ce n’est toutefois pas le cas. On distingue donc les cas suivants dans Visum : lorsque la phase de vert des piétons coïncide avec la phase de vert ou de jaune des véhicules (ou y est tangente), on admet qu’il existe un conflit. Dans ce cas, le temps de vert est entièrement imputé à la ligne de feux des piétons. Autrement, on admit qu’il n’existe aucun conflit. Dans ce cas, on admet gp = 0. |
Étape 2 : détermination du taux d’occupation pertinent de la zone de conflit OCCr
On distingue ici trois cas :
- Cas 1 : tourne-à-droite sans conflit de cycles ou tourne-à-gauche en provenance de voies à sens unique
Dans ce cas, on a
OCCr = OCCpedg
Le critère décisif pour les tourne-à-gauche en provenance de voies à sens unique est qu’il n’existe pas de flux de véhicules antagoniste.
- Cas 2 : tourne-à-droite avec conflit de cycles
On admet ici qu’il existe des cycles allant tout droit.
OCCbicg = 0,02 + vbicg / 2 700
OCCr = OCCpedg + OCCbicg - (OCCpedg)•(OCCbicg)
vbicg est le débit de cycles, vbic la charge de cycles, C le temps de cycle de l’ISL, g le temps de vert effectif du groupe de voies et OCCbicg le taux d’occupation de la zone de conflit par des cycles.
- Cas 3 : autres tourne-à-gauche
Il s’agit ici de tourne-à-gauche qui ne proviennent pas de voies à sens unique. On distingue plusieurs cas, ce qui affecte les valeurs gq et gp. gq est le temps de dégagement de la file de véhicules sur la branche en sens inverse, gp est le temps de vert des piétons conflictuels. On a
gp = max(g1p, g2p)
- Cas 3a : gq ≥ gp
Dans ce cas, le calcul est abrégé et on a
fLpb = 1,0
Les piétons et cycles ne sont pas pertinents ici, car les tourne-à-gauche doivent attendre que la file de véhicules sur la branche en sens inverse se résorbe.
- Cas 3b : gq < gp
On a :
OCCpedu est le taux d’occupation des piétons après résorption de la file de véhicules sur la branche en sens inverse, et OCCpedg le taux d’occupation des piétons.
Étape 3 : détermination des coefficients d’ajustement pour piétons et cycles pour les mouvements tournants permis ApbT
On distingue ici deux cas, ce qui affecte les valeurs Nturn (nombre de voies du mouvement au nœud) et Nrec (nombre de voies sur la branche de destination).
- Cas 1 : Nrec = Nturn
On a ApbT = 1 - OCCr
- Cas 2 : Nrec > Nturn
Les véhicules peuvent ici éviter les piétons et cycles. On a :
ApbT = 1 - 0,6 • OCCr
Étape 4 : détermination des coefficients d’ajustement pour le débit de saturation pour piétons et cycles fLpb et fRpb.
fLpb est le coefficient d’ajustement pour les tourne-à-gauche, fRpb le coefficient d’ajustement pour les tourne-à-droite. On a :
fRpb = 1 - PRT • (1 - ApbT) • (1 - PRTA)
fLpb = 1 - PLT • (1 - ApbT) • (1 - PLTA)
PRT et PLT sont les parts de tourne-à-droite et de tourne-à-gauche du groupe de voies, PRTA et PLTA les parts permises de tourne-à-droite et de tourne-à-gauche (par rapport au nombre total de tourne-à droite et de tourne-à gauche du groupe de voies respectivement).
Étape 6k : calculer le coefficient d’ajustement pour la présence de chantiers
Le coefficient d’ajustement pour la présence de chantiers n’est appliqué qu’avec HCM 6e édition. Il tient compte de la présence de chantiers au niveau des voies d’accès aux intersections. Un chantier est considéré comme étant situé au niveau de la voie d’accès à une distance inférieure à 250 ft de la ligne d’arrêt.
Le coefficient d’ajustement se calcule à travers les équations suivantes :
≤ 1.0
avec
où
|
fWZ |
Coefficient d’ajustement pour les chantiers au niveau des voies d’accès |
|
fwid |
Coefficient d’ajustement pour la largeur de voie d’accès |
|
freduce |
Coefficient d’ajustement pour la réduction des voies au cours de la présence du chantier |
|
aw |
Largeur de voie de l’accès au cours de la présence de chantier |
|
no |
Nombre de voies à gauche et de mouvement direct ouvertes sous conditions normales |
|
nwz |
Nombre de voies à gauche et de mouvement direct ouvertes lors de la présence du chantier |
