Optimisation des temps de vert
Lors de l’optimisation des temps de vert seuls, le temps de cycle prédéfini est considéré comme fixe.
Optimisation des temps de vert pour ISL selon les phases
Le calcul de la répartition des temps de vert requiert les étapes suivantes :
1. Répartition des voies d’accès en groupes de voies (déjà existants dans l’étape d’analyse de capacité).
2. Calcul du volume de trafic ajusté et du débit de saturation pour chaque groupe de voies (déjà existant dans l’étape d’analyse de capacité).
3. Détermination du groupe de voies critique pour chaque phase dans le diagramme de feux.
4. Assignation du temps de vert sur la base des rapports entre groupe de voies critique et débit de saturation.
5. Vérification si les temps de vert assignés satisfont tous aux contraintes marginales.
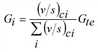
La répartition des temps de vert est calculée de la manière suivante :
où
|
Gi |
Temps de vert efficace pour la phase i |
|
(v/s)ci |
rapport de la charge v et du débit de saturation s pour le groupe de voies critique ci dans la phase i |
|
Gte |
Temps de vert efficace total pour le cycle |
Le temps de vert efficace total pour un cycle est égal au temps de cycle moins tous les temps de protection entre des phases successives. Le temps de protection entre deux phases est nul lorsque les phases présentent des lignes de feux communes. Dans les autres cas, le temps de protection est déterminé par l’attribut Tps protection défaut de l’ISL.
Chaque phase doit également respecter le temps de vert minimum, déterminé par l’attribut Temps de vert minimum de l’ISL. Lorsque le temps de vert calculé est inférieur d’une phase au temps de vert minimum, l’équation de la répartition des temps de vert est recalculée, la phase ne respectant pas le temps de vert minimum étant ignorée. Le temps de vert minimum est assigné à la phase ignorée, ce temps de vert minimum est soustrait du temps de vert efficace total et la répartition des temps de vert est calculée de nouveau.
De nouvelles valeurs sont appliquées aux attributs des phases Début temps de vert et Fin du temps de vert comme résultat de l’optimisation.
Optimisation des temps de vert pour ISL selon les lignes de feux
L’optimisation des temps de vert pour ISL selon les lignes de feux est ramenée à la méthode pour les ISL selon les phases avec les étapes suivantes :
1. Des phases fictives sont générées à partir des temps de vert actuels des lignes de feux.
Visum détermine dans un premier temps l’ensemble T de tous les instants de commutation à partir des attributs Début temps de vert et Fin du temps de vert de toutes les lignes de feux et les classe en ordre croissant. Pour chaque intervalle entre deux instants successifs ti et ti+1 dans T, une phase contenant toutes les lignes de feux protégées pendant [ti ; ti+1) est générée.
2. L’ISL fictive selon les phases est optimisée comme décrit précédemment (Optimisation des temps de vert pour ISL selon les phases).
3. Les temps de vert des lignes de feux sont déduits de la répartition optimale des phases.
Le temps de vert de chaque ligne de feux résulte des temps de vert de toutes les phases contenant la ligne de feux. Dans la mesure où toutes ces phases sont voisines pour des raisons matérielles, il résulte un temps de vert unique pour la ligne de feux.
Optimisation des temps de vert pour ISL externes et RBC
Visum peut optimiser des installations de signalisation lumineuse de type Vissig. Des phases doivent être définies pour l’ISL. L’optimisation de régulations Vissig sans phases ou de régulations de type RBC ne sera proposée qu’ultérieurement.
Si vous excluez des phases individuelles de l’optimisation et souhaitez conserver leur durée du diagramme de feux initial, appliquez la valeur « vrai » pour leur attribut Pseudophase.
Visum effectue les étapes suivantes pour le calcul de la répartition des temps de vert :
1. Exécution d’un calcul ACI pour le diagramme de feux actuel et détermination des débits de saturation et charges pour chaque groupe de voies.
2. Résolution du problème d’optimisation linéaire :
où
|
L |
Ensemble de tous les groupes de voies |
|
C |
Temps de cycle |
|
sl |
Débit de saturation du groupe de voies l |
|
ql |
Charge du groupe de voies l |
|
tP |
Durée du temps de vert de la phase P |
|
|
Temps de vert minimum de la phase P |
La première contrainte annexe exprime que la part z de la charge de chaque groupe de voies dépend des temps de vert des phases disponibles pour ce groupe. La part z est maximisée.
3. Exécution d’un nouveau calcul ACI pour le diagramme de feux optimisé.
4. Si le temps d’attente moyen total n’a pas été amélioré, interruption et poursuite à l’étape 5. Si les débits de saturation ont été modifiés, retour à l’étape 2. Sinon, poursuite à l’étape 5 également.
5. Assignation des valeurs de la dernière solution optimale aux attribut Début temps de vert et Fin du temps de vert des phases.
